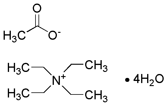
Tetraethylammonium acetate tetrahydrate is widely utilized in research focused on:
- Electrochemistry: This compound serves as a supporting electrolyte in electrochemical experiments, enhancing conductivity and stability in various solutions, which is crucial for accurate measurements.
- Organic Synthesis: It acts as a phase transfer catalyst, facilitating reactions between organic and aqueous phases, making it invaluable in synthesizing complex organic compounds.
- Biochemical Applications: The compound is used in biochemical assays and studies, particularly in enzyme activity assays, where it helps maintain optimal pH and ionic strength.
- Pharmaceutical Development: In drug formulation, it can improve the solubility and bioavailability of certain active pharmaceutical ingredients, leading to more effective medications.
- Material Science: It is utilized in the development of ionic liquids and polymer composites, contributing to advancements in materials with unique properties for various industrial applications.
General Information
Properties
Safety and Regulations
Applications
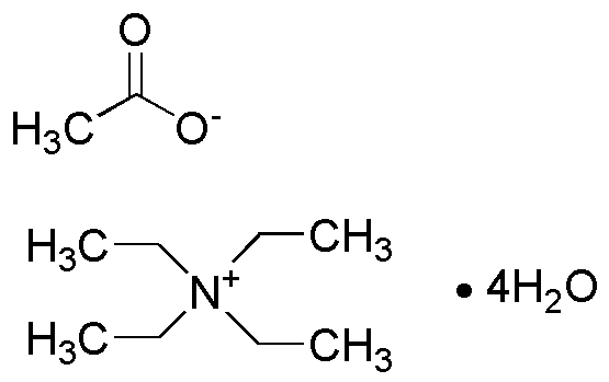
Tetraethylammonium acetate tetrahydrate is widely utilized in research focused on:
- Electrochemistry: This compound serves as a supporting electrolyte in electrochemical experiments, enhancing conductivity and stability in various solutions, which is crucial for accurate measurements.
- Organic Synthesis: It acts as a phase transfer catalyst, facilitating reactions between organic and aqueous phases, making it invaluable in synthesizing complex organic compounds.
- Biochemical Applications: The compound is used in biochemical assays and studies, particularly in enzyme activity assays, where it helps maintain optimal pH and ionic strength.
- Pharmaceutical Development: In drug formulation, it can improve the solubility and bioavailability of certain active pharmaceutical ingredients, leading to more effective medications.
- Material Science: It is utilized in the development of ionic liquids and polymer composites, contributing to advancements in materials with unique properties for various industrial applications.
Documents
Safety Data Sheets (SDS)
The SDS provides comprehensive safety information on handling, storage, and disposal of the product.
Product Specification (PS)
The PS provides a comprehensive breakdown of the product’s properties, including chemical composition, physical state, purity, and storage requirements. It also details acceptable quality ranges and the product's intended applications.
Certificates of Analysis (COA)
Search for Certificates of Analysis (COA) by entering the products Lot Number. Lot and Batch Numbers can be found on a product’s label following the words ‘Lot’ or ‘Batch’.
*Catalog Number
*Lot Number
Certificates Of Origin (COO)
This COO confirms the country where the product was manufactured, and also details the materials and components used in it and whether it is derived from natural, synthetic, or other specific sources. This certificate may be required for customs, trade, and regulatory compliance.
*Catalog Number
*Lot Number
Safety Data Sheets (SDS)
The SDS provides comprehensive safety information on handling, storage, and disposal of the product.
DownloadProduct Specification (PS)
The PS provides a comprehensive breakdown of the product’s properties, including chemical composition, physical state, purity, and storage requirements. It also details acceptable quality ranges and the product's intended applications.
DownloadCertificates of Analysis (COA)
Search for Certificates of Analysis (COA) by entering the products Lot Number. Lot and Batch Numbers can be found on a product’s label following the words ‘Lot’ or ‘Batch’.
*Catalog Number
*Lot Number
Certificates Of Origin (COO)
This COO confirms the country where the product was manufactured, and also details the materials and components used in it and whether it is derived from natural, synthetic, or other specific sources. This certificate may be required for customs, trade, and regulatory compliance.
*Catalog Number
*Lot Number
Citations
Sign up and save
Entice customers to sign up for your mailing list with discounts or exclusive offers.
