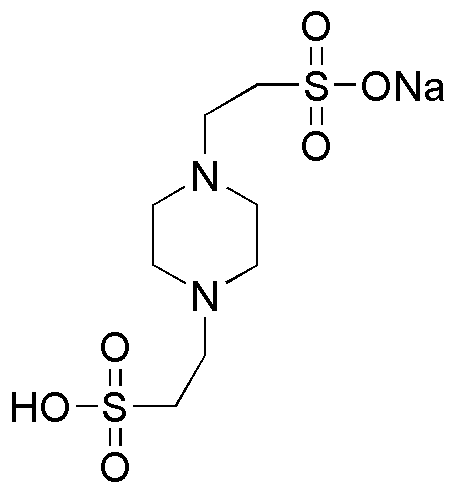
Piperazine-N,N'-bis(2-ethanesulfonic acid) monosodium salt is widely utilized in research focused on:
- Biochemical Buffers: This compound serves as an effective buffering agent in biological and biochemical experiments, helping to maintain stable pH levels crucial for enzyme activity and cellular processes.
- Pharmaceutical Formulations: It is incorporated in drug formulations to enhance solubility and stability, particularly for medications that require precise pH conditions for optimal efficacy.
- Cell Culture Media: The compound is commonly used in cell culture media to support the growth of various cell types, ensuring an optimal environment for research and development in biotechnology.
- Analytical Chemistry: It plays a role in analytical methods, such as chromatography, where it aids in the separation and identification of compounds, improving the accuracy of results.
- Environmental Testing: The chemical is utilized in environmental studies to assess the impact of pollutants on aquatic systems, providing insights into water quality and ecosystem health.
General Information
Properties
Safety and Regulations
Applications
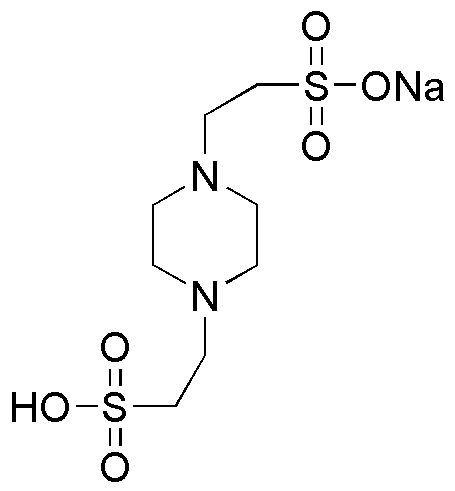
Piperazine-N,N'-bis(2-ethanesulfonic acid) monosodium salt is widely utilized in research focused on:
- Biochemical Buffers: This compound serves as an effective buffering agent in biological and biochemical experiments, helping to maintain stable pH levels crucial for enzyme activity and cellular processes.
- Pharmaceutical Formulations: It is incorporated in drug formulations to enhance solubility and stability, particularly for medications that require precise pH conditions for optimal efficacy.
- Cell Culture Media: The compound is commonly used in cell culture media to support the growth of various cell types, ensuring an optimal environment for research and development in biotechnology.
- Analytical Chemistry: It plays a role in analytical methods, such as chromatography, where it aids in the separation and identification of compounds, improving the accuracy of results.
- Environmental Testing: The chemical is utilized in environmental studies to assess the impact of pollutants on aquatic systems, providing insights into water quality and ecosystem health.
Documents
Safety Data Sheets (SDS)
The SDS provides comprehensive safety information on handling, storage, and disposal of the product.
Product Specification (PS)
The PS provides a comprehensive breakdown of the product’s properties, including chemical composition, physical state, purity, and storage requirements. It also details acceptable quality ranges and the product's intended applications.
Certificates of Analysis (COA)
Search for Certificates of Analysis (COA) by entering the products Lot Number. Lot and Batch Numbers can be found on a product’s label following the words ‘Lot’ or ‘Batch’.
*Catalog Number
*Lot Number
Certificates Of Origin (COO)
This COO confirms the country where the product was manufactured, and also details the materials and components used in it and whether it is derived from natural, synthetic, or other specific sources. This certificate may be required for customs, trade, and regulatory compliance.
*Catalog Number
*Lot Number
Safety Data Sheets (SDS)
The SDS provides comprehensive safety information on handling, storage, and disposal of the product.
DownloadProduct Specification (PS)
The PS provides a comprehensive breakdown of the product’s properties, including chemical composition, physical state, purity, and storage requirements. It also details acceptable quality ranges and the product's intended applications.
DownloadCertificates of Analysis (COA)
Search for Certificates of Analysis (COA) by entering the products Lot Number. Lot and Batch Numbers can be found on a product’s label following the words ‘Lot’ or ‘Batch’.
*Catalog Number
*Lot Number
Certificates Of Origin (COO)
This COO confirms the country where the product was manufactured, and also details the materials and components used in it and whether it is derived from natural, synthetic, or other specific sources. This certificate may be required for customs, trade, and regulatory compliance.
