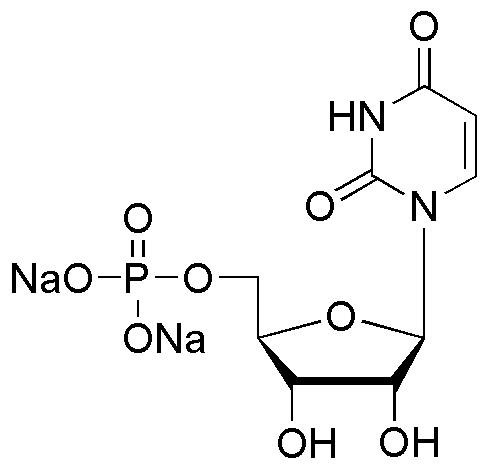
Uridine-5'-monophosphate disodium is widely utilized in research focused on:
- Biochemical Research: This compound is crucial for studying nucleotide metabolism and cellular signaling pathways, helping researchers understand fundamental biological processes.
- Pharmaceutical Development: It serves as a building block in the synthesis of RNA-based drugs, offering potential therapeutic benefits in treating viral infections and genetic disorders.
- Neuroscience: Used in studies related to neuroprotection and cognitive function, it aids in exploring treatments for neurodegenerative diseases like Alzheimer's.
- Cell Culture: Commonly added to cell culture media, it supports the growth and maintenance of various cell lines, enhancing experimental outcomes in cellular studies.
- Metabolic Studies: Its role in energy metabolism makes it valuable for research into metabolic disorders, providing insights into conditions like diabetes and obesity.
General Information
Properties
Safety and Regulations
Applications
Uridine-5'-monophosphate disodium is widely utilized in research focused on:
- Biochemical Research: This compound is crucial for studying nucleotide metabolism and cellular signaling pathways, helping researchers understand fundamental biological processes.
- Pharmaceutical Development: It serves as a building block in the synthesis of RNA-based drugs, offering potential therapeutic benefits in treating viral infections and genetic disorders.
- Neuroscience: Used in studies related to neuroprotection and cognitive function, it aids in exploring treatments for neurodegenerative diseases like Alzheimer's.
- Cell Culture: Commonly added to cell culture media, it supports the growth and maintenance of various cell lines, enhancing experimental outcomes in cellular studies.
- Metabolic Studies: Its role in energy metabolism makes it valuable for research into metabolic disorders, providing insights into conditions like diabetes and obesity.
Documents
Safety Data Sheets (SDS)
The SDS provides comprehensive safety information on handling, storage, and disposal of the product.
Product Specification (PS)
The PS provides a comprehensive breakdown of the product’s properties, including chemical composition, physical state, purity, and storage requirements. It also details acceptable quality ranges and the product's intended applications.
Certificates of Analysis (COA)
Search for Certificates of Analysis (COA) by entering the products Lot Number. Lot and Batch Numbers can be found on a product’s label following the words ‘Lot’ or ‘Batch’.
*Catalog Number
*Lot Number
Certificates Of Origin (COO)
This COO confirms the country where the product was manufactured, and also details the materials and components used in it and whether it is derived from natural, synthetic, or other specific sources. This certificate may be required for customs, trade, and regulatory compliance.
*Catalog Number
*Lot Number
Safety Data Sheets (SDS)
The SDS provides comprehensive safety information on handling, storage, and disposal of the product.
DownloadProduct Specification (PS)
The PS provides a comprehensive breakdown of the product’s properties, including chemical composition, physical state, purity, and storage requirements. It also details acceptable quality ranges and the product's intended applications.
DownloadCertificates of Analysis (COA)
Search for Certificates of Analysis (COA) by entering the products Lot Number. Lot and Batch Numbers can be found on a product’s label following the words ‘Lot’ or ‘Batch’.
*Catalog Number
*Lot Number
Certificates Of Origin (COO)
This COO confirms the country where the product was manufactured, and also details the materials and components used in it and whether it is derived from natural, synthetic, or other specific sources. This certificate may be required for customs, trade, and regulatory compliance.
