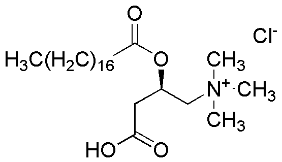
Stearoyl-L-carnitine chloride is widely utilized in research focused on:
- Pharmaceutical Development: This compound is often used in drug formulation, particularly in the development of medications targeting metabolic disorders, due to its role in fatty acid metabolism.
- Cosmetic Industry: It serves as an effective ingredient in skincare products, enhancing skin hydration and providing anti-aging benefits, making it popular among cosmetic formulators.
- Nutrition Supplements: Commonly found in dietary supplements, it aids in fat transport and energy production, appealing to fitness enthusiasts and those looking to manage weight.
- Biochemical Research: Researchers utilize it to study cellular metabolism and mitochondrial function, providing insights into energy production and related diseases.
- Veterinary Medicine: It is also applied in veterinary formulations to support animal health, particularly in improving energy levels and metabolic efficiency in livestock.
General Information
Properties
Safety and Regulations
Applications
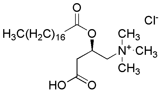
Stearoyl-L-carnitine chloride is widely utilized in research focused on:
- Pharmaceutical Development: This compound is often used in drug formulation, particularly in the development of medications targeting metabolic disorders, due to its role in fatty acid metabolism.
- Cosmetic Industry: It serves as an effective ingredient in skincare products, enhancing skin hydration and providing anti-aging benefits, making it popular among cosmetic formulators.
- Nutrition Supplements: Commonly found in dietary supplements, it aids in fat transport and energy production, appealing to fitness enthusiasts and those looking to manage weight.
- Biochemical Research: Researchers utilize it to study cellular metabolism and mitochondrial function, providing insights into energy production and related diseases.
- Veterinary Medicine: It is also applied in veterinary formulations to support animal health, particularly in improving energy levels and metabolic efficiency in livestock.
Documents
Safety Data Sheets (SDS)
The SDS provides comprehensive safety information on handling, storage, and disposal of the product.
Product Specification (PS)
The PS provides a comprehensive breakdown of the product’s properties, including chemical composition, physical state, purity, and storage requirements. It also details acceptable quality ranges and the product's intended applications.
Certificates of Analysis (COA)
Search for Certificates of Analysis (COA) by entering the products Lot Number. Lot and Batch Numbers can be found on a product’s label following the words ‘Lot’ or ‘Batch’.
*Catalog Number
*Lot Number
Certificates Of Origin (COO)
This COO confirms the country where the product was manufactured, and also details the materials and components used in it and whether it is derived from natural, synthetic, or other specific sources. This certificate may be required for customs, trade, and regulatory compliance.
*Catalog Number
*Lot Number
Safety Data Sheets (SDS)
The SDS provides comprehensive safety information on handling, storage, and disposal of the product.
DownloadProduct Specification (PS)
The PS provides a comprehensive breakdown of the product’s properties, including chemical composition, physical state, purity, and storage requirements. It also details acceptable quality ranges and the product's intended applications.
DownloadCertificates of Analysis (COA)
Search for Certificates of Analysis (COA) by entering the products Lot Number. Lot and Batch Numbers can be found on a product’s label following the words ‘Lot’ or ‘Batch’.
*Catalog Number
*Lot Number
Certificates Of Origin (COO)
This COO confirms the country where the product was manufactured, and also details the materials and components used in it and whether it is derived from natural, synthetic, or other specific sources. This certificate may be required for customs, trade, and regulatory compliance.
