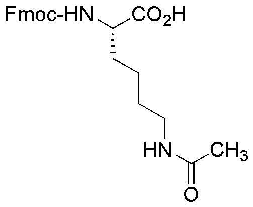
Na-Fmoc-Ne-acetyl-L-lysine is widely utilized in research focused on:
- Peptide Synthesis: This compound serves as a protecting group in solid-phase peptide synthesis, allowing for the selective modification of amino acids without interfering with other functional groups.
- Drug Development: Researchers use it to create peptide-based therapeutics, particularly in the development of targeted drug delivery systems that enhance efficacy and reduce side effects.
- Bioconjugation: It is employed in bioconjugation techniques, facilitating the attachment of peptides to various biomolecules, which is crucial in the creation of diagnostic tools and therapeutic agents.
- Protein Engineering: This chemical is instrumental in modifying lysine residues in proteins, enabling the design of proteins with enhanced stability and functionality for industrial applications.
- Research in Cancer Therapy: Its application in synthesizing peptide inhibitors has shown promise in cancer research, where it aids in the development of compounds that can selectively target cancer cells.
General Information
Properties
Safety and Regulations
Applications
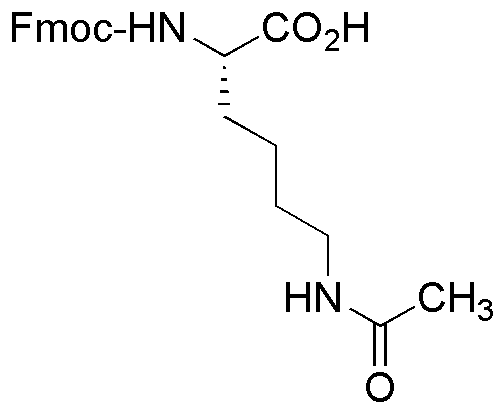
Na-Fmoc-Ne-acetyl-L-lysine is widely utilized in research focused on:
- Peptide Synthesis: This compound serves as a protecting group in solid-phase peptide synthesis, allowing for the selective modification of amino acids without interfering with other functional groups.
- Drug Development: Researchers use it to create peptide-based therapeutics, particularly in the development of targeted drug delivery systems that enhance efficacy and reduce side effects.
- Bioconjugation: It is employed in bioconjugation techniques, facilitating the attachment of peptides to various biomolecules, which is crucial in the creation of diagnostic tools and therapeutic agents.
- Protein Engineering: This chemical is instrumental in modifying lysine residues in proteins, enabling the design of proteins with enhanced stability and functionality for industrial applications.
- Research in Cancer Therapy: Its application in synthesizing peptide inhibitors has shown promise in cancer research, where it aids in the development of compounds that can selectively target cancer cells.
Documents
Safety Data Sheets (SDS)
The SDS provides comprehensive safety information on handling, storage, and disposal of the product.
Product Specification (PS)
The PS provides a comprehensive breakdown of the product’s properties, including chemical composition, physical state, purity, and storage requirements. It also details acceptable quality ranges and the product's intended applications.
Certificates of Analysis (COA)
Search for Certificates of Analysis (COA) by entering the products Lot Number. Lot and Batch Numbers can be found on a product’s label following the words ‘Lot’ or ‘Batch’.
*Catalog Number
*Lot Number
Certificates Of Origin (COO)
This COO confirms the country where the product was manufactured, and also details the materials and components used in it and whether it is derived from natural, synthetic, or other specific sources. This certificate may be required for customs, trade, and regulatory compliance.
*Catalog Number
*Lot Number
Safety Data Sheets (SDS)
The SDS provides comprehensive safety information on handling, storage, and disposal of the product.
DownloadProduct Specification (PS)
The PS provides a comprehensive breakdown of the product’s properties, including chemical composition, physical state, purity, and storage requirements. It also details acceptable quality ranges and the product's intended applications.
DownloadCertificates of Analysis (COA)
Search for Certificates of Analysis (COA) by entering the products Lot Number. Lot and Batch Numbers can be found on a product’s label following the words ‘Lot’ or ‘Batch’.
*Catalog Number
*Lot Number
Certificates Of Origin (COO)
This COO confirms the country where the product was manufactured, and also details the materials and components used in it and whether it is derived from natural, synthetic, or other specific sources. This certificate may be required for customs, trade, and regulatory compliance.
*Catalog Number
*Lot Number
Citations
Sign up and save
Entice customers to sign up for your mailing list with discounts or exclusive offers.
