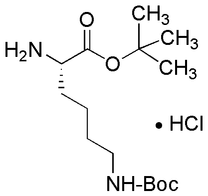
Ne-Boc-L-lysine tert-butyl ester hydrochloride is widely utilized in research focused on:
- Peptide Synthesis: This compound serves as a protected amino acid in the synthesis of peptides, allowing for the selective introduction of lysine residues while preventing unwanted reactions.
- Drug Development: It plays a crucial role in the design of pharmaceutical compounds, particularly in creating prodrugs that enhance bioavailability and reduce side effects.
- Bioconjugation: The tert-butyl ester group facilitates the conjugation of biomolecules, aiding in the development of targeted drug delivery systems and diagnostic agents.
- Protein Engineering: Researchers use it to modify proteins, enhancing their stability and functionality, which is essential in therapeutic applications.
- Research in Molecular Biology: It is employed in various molecular biology techniques, including the study of protein interactions and functions, providing insights into cellular processes.
General Information
Properties
Safety and Regulations
Applications
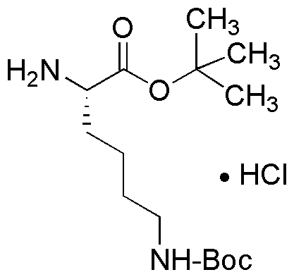
Ne-Boc-L-lysine tert-butyl ester hydrochloride is widely utilized in research focused on:
- Peptide Synthesis: This compound serves as a protected amino acid in the synthesis of peptides, allowing for the selective introduction of lysine residues while preventing unwanted reactions.
- Drug Development: It plays a crucial role in the design of pharmaceutical compounds, particularly in creating prodrugs that enhance bioavailability and reduce side effects.
- Bioconjugation: The tert-butyl ester group facilitates the conjugation of biomolecules, aiding in the development of targeted drug delivery systems and diagnostic agents.
- Protein Engineering: Researchers use it to modify proteins, enhancing their stability and functionality, which is essential in therapeutic applications.
- Research in Molecular Biology: It is employed in various molecular biology techniques, including the study of protein interactions and functions, providing insights into cellular processes.
Documents
Safety Data Sheets (SDS)
The SDS provides comprehensive safety information on handling, storage, and disposal of the product.
Product Specification (PS)
The PS provides a comprehensive breakdown of the product’s properties, including chemical composition, physical state, purity, and storage requirements. It also details acceptable quality ranges and the product's intended applications.
Certificates of Analysis (COA)
Search for Certificates of Analysis (COA) by entering the products Lot Number. Lot and Batch Numbers can be found on a product’s label following the words ‘Lot’ or ‘Batch’.
*Catalog Number
*Lot Number
Certificates Of Origin (COO)
This COO confirms the country where the product was manufactured, and also details the materials and components used in it and whether it is derived from natural, synthetic, or other specific sources. This certificate may be required for customs, trade, and regulatory compliance.
*Catalog Number
*Lot Number
Safety Data Sheets (SDS)
The SDS provides comprehensive safety information on handling, storage, and disposal of the product.
DownloadProduct Specification (PS)
The PS provides a comprehensive breakdown of the product’s properties, including chemical composition, physical state, purity, and storage requirements. It also details acceptable quality ranges and the product's intended applications.
DownloadCertificates of Analysis (COA)
Search for Certificates of Analysis (COA) by entering the products Lot Number. Lot and Batch Numbers can be found on a product’s label following the words ‘Lot’ or ‘Batch’.
*Catalog Number
*Lot Number
Certificates Of Origin (COO)
This COO confirms the country where the product was manufactured, and also details the materials and components used in it and whether it is derived from natural, synthetic, or other specific sources. This certificate may be required for customs, trade, and regulatory compliance.
