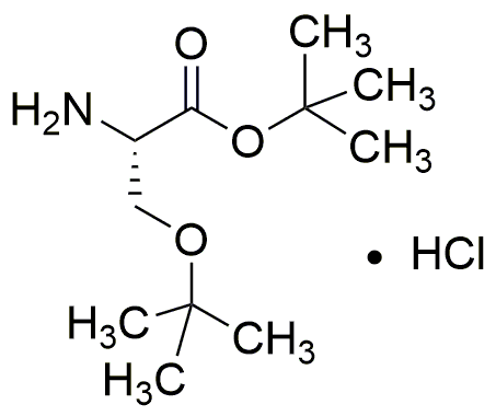
O-tert-Butyl-L-serine t-butyl ester hydrochloride is widely utilized in research focused on:
- Peptide Synthesis: This compound serves as a key building block in the synthesis of peptides, which are crucial for developing new drugs and therapies.
- Biochemical Research: It is used in studies involving amino acids and their derivatives, helping researchers understand protein structures and functions.
- Pharmaceutical Development: The compound is valuable in the formulation of pharmaceuticals, particularly in creating stable drug candidates with improved solubility.
- Biotechnology: Its applications extend to biotechnology, where it aids in the production of enzymes and other biologically active molecules.
- Cosmetic Formulations: The ester is also explored in cosmetic chemistry for its potential to enhance skin absorption of active ingredients.
General Information
Properties
Safety and Regulations
Applications
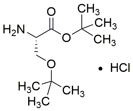
O-tert-Butyl-L-serine t-butyl ester hydrochloride is widely utilized in research focused on:
- Peptide Synthesis: This compound serves as a key building block in the synthesis of peptides, which are crucial for developing new drugs and therapies.
- Biochemical Research: It is used in studies involving amino acids and their derivatives, helping researchers understand protein structures and functions.
- Pharmaceutical Development: The compound is valuable in the formulation of pharmaceuticals, particularly in creating stable drug candidates with improved solubility.
- Biotechnology: Its applications extend to biotechnology, where it aids in the production of enzymes and other biologically active molecules.
- Cosmetic Formulations: The ester is also explored in cosmetic chemistry for its potential to enhance skin absorption of active ingredients.
Documents
Safety Data Sheets (SDS)
The SDS provides comprehensive safety information on handling, storage, and disposal of the product.
Product Specification (PS)
The PS provides a comprehensive breakdown of the product’s properties, including chemical composition, physical state, purity, and storage requirements. It also details acceptable quality ranges and the product's intended applications.
Certificates of Analysis (COA)
Search for Certificates of Analysis (COA) by entering the products Lot Number. Lot and Batch Numbers can be found on a product’s label following the words ‘Lot’ or ‘Batch’.
*Catalog Number
*Lot Number
Certificates Of Origin (COO)
This COO confirms the country where the product was manufactured, and also details the materials and components used in it and whether it is derived from natural, synthetic, or other specific sources. This certificate may be required for customs, trade, and regulatory compliance.
*Catalog Number
*Lot Number
Safety Data Sheets (SDS)
The SDS provides comprehensive safety information on handling, storage, and disposal of the product.
DownloadProduct Specification (PS)
The PS provides a comprehensive breakdown of the product’s properties, including chemical composition, physical state, purity, and storage requirements. It also details acceptable quality ranges and the product's intended applications.
DownloadCertificates of Analysis (COA)
Search for Certificates of Analysis (COA) by entering the products Lot Number. Lot and Batch Numbers can be found on a product’s label following the words ‘Lot’ or ‘Batch’.
*Catalog Number
*Lot Number
Certificates Of Origin (COO)
This COO confirms the country where the product was manufactured, and also details the materials and components used in it and whether it is derived from natural, synthetic, or other specific sources. This certificate may be required for customs, trade, and regulatory compliance.
