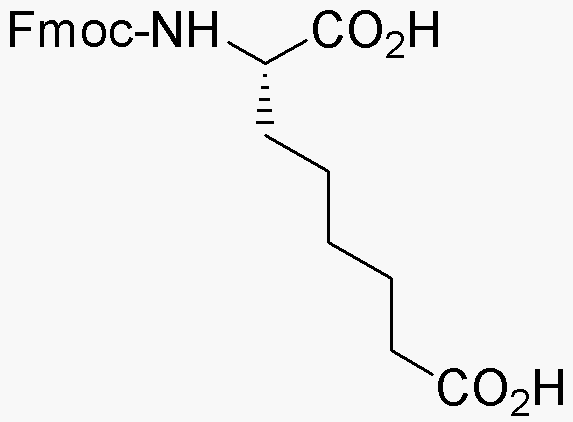
Fmoc-L-a-aminosuberic acid is widely utilized in research focused on:
- Peptide Synthesis: This compound serves as a key building block in the synthesis of peptides, particularly in solid-phase peptide synthesis, enhancing the efficiency and yield of the process.
- Drug Development: It plays a significant role in the pharmaceutical industry for developing novel drug candidates, especially those targeting specific biological pathways.
- Bioconjugation: Its functional groups allow for effective bioconjugation, making it valuable in creating targeted therapies and diagnostic agents in biomedicine.
- Research in Neuroscience: The compound is used in studies related to neuropeptides, contributing to the understanding of neurological functions and disorders.
- Material Science: It is also explored in the development of new materials, particularly in creating polymers with specific properties for various applications.
General Information
Properties
Safety and Regulations
Applications
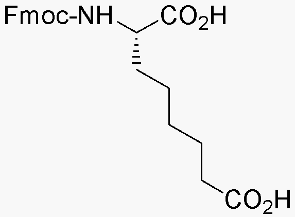
Fmoc-L-a-aminosuberic acid is widely utilized in research focused on:
- Peptide Synthesis: This compound serves as a key building block in the synthesis of peptides, particularly in solid-phase peptide synthesis, enhancing the efficiency and yield of the process.
- Drug Development: It plays a significant role in the pharmaceutical industry for developing novel drug candidates, especially those targeting specific biological pathways.
- Bioconjugation: Its functional groups allow for effective bioconjugation, making it valuable in creating targeted therapies and diagnostic agents in biomedicine.
- Research in Neuroscience: The compound is used in studies related to neuropeptides, contributing to the understanding of neurological functions and disorders.
- Material Science: It is also explored in the development of new materials, particularly in creating polymers with specific properties for various applications.
Documents
Safety Data Sheets (SDS)
The SDS provides comprehensive safety information on handling, storage, and disposal of the product.
Product Specification (PS)
The PS provides a comprehensive breakdown of the product’s properties, including chemical composition, physical state, purity, and storage requirements. It also details acceptable quality ranges and the product's intended applications.
Certificates of Analysis (COA)
Search for Certificates of Analysis (COA) by entering the products Lot Number. Lot and Batch Numbers can be found on a product’s label following the words ‘Lot’ or ‘Batch’.
*Catalog Number
*Lot Number
Certificates Of Origin (COO)
This COO confirms the country where the product was manufactured, and also details the materials and components used in it and whether it is derived from natural, synthetic, or other specific sources. This certificate may be required for customs, trade, and regulatory compliance.
*Catalog Number
*Lot Number
Safety Data Sheets (SDS)
The SDS provides comprehensive safety information on handling, storage, and disposal of the product.
DownloadProduct Specification (PS)
The PS provides a comprehensive breakdown of the product’s properties, including chemical composition, physical state, purity, and storage requirements. It also details acceptable quality ranges and the product's intended applications.
DownloadCertificates of Analysis (COA)
Search for Certificates of Analysis (COA) by entering the products Lot Number. Lot and Batch Numbers can be found on a product’s label following the words ‘Lot’ or ‘Batch’.
*Catalog Number
*Lot Number
Certificates Of Origin (COO)
This COO confirms the country where the product was manufactured, and also details the materials and components used in it and whether it is derived from natural, synthetic, or other specific sources. This certificate may be required for customs, trade, and regulatory compliance.
