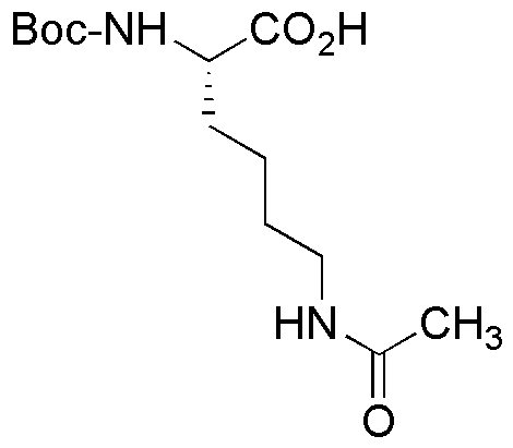
Na-Boc-Ne-acetyl-L-lysine is widely utilized in research focused on:
- Peptide Synthesis: This compound serves as a protective group in the synthesis of peptides, allowing for selective reactions and improving yield in complex chemical processes.
- Bioconjugation: It is used in bioconjugation techniques to attach biomolecules, enhancing the stability and functionality of therapeutic agents in drug development.
- Protein Modification: Researchers apply it for modifying proteins, which can help in studying protein interactions and functions, crucial for understanding various biological processes.
- Drug Development: The compound is beneficial in the pharmaceutical industry for developing new drugs, particularly those targeting specific biological pathways, due to its ability to improve solubility and bioavailability.
- Research in Neuroscience: It plays a role in neuroscience research, particularly in studying lysine acetylation, which is important for understanding gene expression and neuronal function.
General Information
Properties
Safety and Regulations
Applications
Na-Boc-Ne-acetyl-L-lysine is widely utilized in research focused on:
- Peptide Synthesis: This compound serves as a protective group in the synthesis of peptides, allowing for selective reactions and improving yield in complex chemical processes.
- Bioconjugation: It is used in bioconjugation techniques to attach biomolecules, enhancing the stability and functionality of therapeutic agents in drug development.
- Protein Modification: Researchers apply it for modifying proteins, which can help in studying protein interactions and functions, crucial for understanding various biological processes.
- Drug Development: The compound is beneficial in the pharmaceutical industry for developing new drugs, particularly those targeting specific biological pathways, due to its ability to improve solubility and bioavailability.
- Research in Neuroscience: It plays a role in neuroscience research, particularly in studying lysine acetylation, which is important for understanding gene expression and neuronal function.
Documents
Safety Data Sheets (SDS)
The SDS provides comprehensive safety information on handling, storage, and disposal of the product.
Product Specification (PS)
The PS provides a comprehensive breakdown of the product’s properties, including chemical composition, physical state, purity, and storage requirements. It also details acceptable quality ranges and the product's intended applications.
Certificates of Analysis (COA)
Search for Certificates of Analysis (COA) by entering the products Lot Number. Lot and Batch Numbers can be found on a product’s label following the words ‘Lot’ or ‘Batch’.
*Catalog Number
*Lot Number
Certificates Of Origin (COO)
This COO confirms the country where the product was manufactured, and also details the materials and components used in it and whether it is derived from natural, synthetic, or other specific sources. This certificate may be required for customs, trade, and regulatory compliance.
*Catalog Number
*Lot Number
Safety Data Sheets (SDS)
The SDS provides comprehensive safety information on handling, storage, and disposal of the product.
DownloadProduct Specification (PS)
The PS provides a comprehensive breakdown of the product’s properties, including chemical composition, physical state, purity, and storage requirements. It also details acceptable quality ranges and the product's intended applications.
DownloadCertificates of Analysis (COA)
Search for Certificates of Analysis (COA) by entering the products Lot Number. Lot and Batch Numbers can be found on a product’s label following the words ‘Lot’ or ‘Batch’.
*Catalog Number
*Lot Number
Certificates Of Origin (COO)
This COO confirms the country where the product was manufactured, and also details the materials and components used in it and whether it is derived from natural, synthetic, or other specific sources. This certificate may be required for customs, trade, and regulatory compliance.
