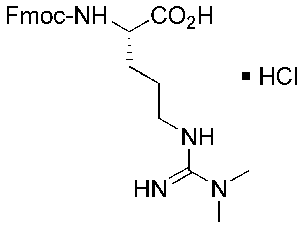
Na-Fmoc-Nw,w -dimethyl-L-arginine (asymmetrical) hydrochloride is widely utilized in research focused on:
- Peptide Synthesis: This compound serves as a protective group in the synthesis of peptides, allowing researchers to selectively modify amino acids without affecting others. Its use can streamline the process and improve yields in peptide production.
- Drug Development: It plays a crucial role in the development of new pharmaceuticals, particularly in creating compounds that target specific biological pathways. This can lead to more effective treatments with fewer side effects.
- Biochemical Research: Researchers use this compound to study the function of nitric oxide synthase, which is important for understanding cardiovascular health and related diseases.
- Diagnostics: It can be utilized in the development of diagnostic tools for various conditions, enhancing the ability to detect and monitor diseases through targeted biochemical interactions.
- Cosmetic Formulations: The compound is also explored in cosmetic chemistry for its potential benefits in skin care products, particularly those aimed at improving skin elasticity and hydration.
General Information
Properties
Safety and Regulations
Applications
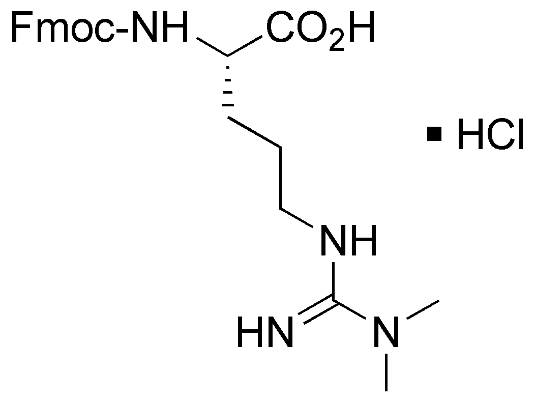
Na-Fmoc-Nw,w -dimethyl-L-arginine (asymmetrical) hydrochloride is widely utilized in research focused on:
- Peptide Synthesis: This compound serves as a protective group in the synthesis of peptides, allowing researchers to selectively modify amino acids without affecting others. Its use can streamline the process and improve yields in peptide production.
- Drug Development: It plays a crucial role in the development of new pharmaceuticals, particularly in creating compounds that target specific biological pathways. This can lead to more effective treatments with fewer side effects.
- Biochemical Research: Researchers use this compound to study the function of nitric oxide synthase, which is important for understanding cardiovascular health and related diseases.
- Diagnostics: It can be utilized in the development of diagnostic tools for various conditions, enhancing the ability to detect and monitor diseases through targeted biochemical interactions.
- Cosmetic Formulations: The compound is also explored in cosmetic chemistry for its potential benefits in skin care products, particularly those aimed at improving skin elasticity and hydration.
Documents
Safety Data Sheets (SDS)
The SDS provides comprehensive safety information on handling, storage, and disposal of the product.
Product Specification (PS)
The PS provides a comprehensive breakdown of the product’s properties, including chemical composition, physical state, purity, and storage requirements. It also details acceptable quality ranges and the product's intended applications.
Certificates of Analysis (COA)
Search for Certificates of Analysis (COA) by entering the products Lot Number. Lot and Batch Numbers can be found on a product’s label following the words ‘Lot’ or ‘Batch’.
*Catalog Number
*Lot Number
Certificates Of Origin (COO)
This COO confirms the country where the product was manufactured, and also details the materials and components used in it and whether it is derived from natural, synthetic, or other specific sources. This certificate may be required for customs, trade, and regulatory compliance.
*Catalog Number
*Lot Number
Safety Data Sheets (SDS)
The SDS provides comprehensive safety information on handling, storage, and disposal of the product.
DownloadProduct Specification (PS)
The PS provides a comprehensive breakdown of the product’s properties, including chemical composition, physical state, purity, and storage requirements. It also details acceptable quality ranges and the product's intended applications.
DownloadCertificates of Analysis (COA)
Search for Certificates of Analysis (COA) by entering the products Lot Number. Lot and Batch Numbers can be found on a product’s label following the words ‘Lot’ or ‘Batch’.
*Catalog Number
*Lot Number
Certificates Of Origin (COO)
This COO confirms the country where the product was manufactured, and also details the materials and components used in it and whether it is derived from natural, synthetic, or other specific sources. This certificate may be required for customs, trade, and regulatory compliance.
