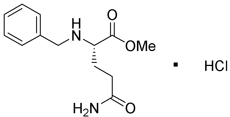
N-Benzyl-L-glutamine methyl ester hydrochloride is widely utilized in research focused on
- Pharmaceutical Development: This compound serves as a valuable intermediate in the synthesis of various pharmaceuticals, particularly in the development of drugs targeting neurological disorders.
- Biochemical Research: It is used in studies related to amino acid metabolism and protein synthesis, helping researchers understand cellular processes better.
- Drug Delivery Systems: The compound's properties make it suitable for formulating drug delivery systems, enhancing the bioavailability of therapeutic agents.
- Cosmetic Formulations: In the cosmetic industry, it is incorporated into formulations for its potential skin-conditioning benefits, improving product efficacy.
- Research on Enzyme Inhibition: This chemical is explored for its ability to inhibit specific enzymes, providing insights into enzyme activity and potential therapeutic targets.
General Information
Properties
Safety and Regulations
Applications
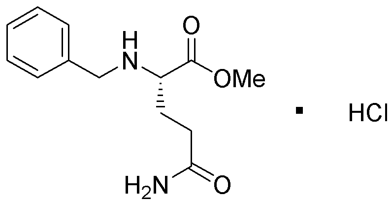
N-Benzyl-L-glutamine methyl ester hydrochloride is widely utilized in research focused on
- Pharmaceutical Development: This compound serves as a valuable intermediate in the synthesis of various pharmaceuticals, particularly in the development of drugs targeting neurological disorders.
- Biochemical Research: It is used in studies related to amino acid metabolism and protein synthesis, helping researchers understand cellular processes better.
- Drug Delivery Systems: The compound's properties make it suitable for formulating drug delivery systems, enhancing the bioavailability of therapeutic agents.
- Cosmetic Formulations: In the cosmetic industry, it is incorporated into formulations for its potential skin-conditioning benefits, improving product efficacy.
- Research on Enzyme Inhibition: This chemical is explored for its ability to inhibit specific enzymes, providing insights into enzyme activity and potential therapeutic targets.
Documents
Safety Data Sheets (SDS)
The SDS provides comprehensive safety information on handling, storage, and disposal of the product.
Product Specification (PS)
The PS provides a comprehensive breakdown of the product’s properties, including chemical composition, physical state, purity, and storage requirements. It also details acceptable quality ranges and the product's intended applications.
Certificates of Analysis (COA)
Search for Certificates of Analysis (COA) by entering the products Lot Number. Lot and Batch Numbers can be found on a product’s label following the words ‘Lot’ or ‘Batch’.
*Catalog Number
*Lot Number
Certificates Of Origin (COO)
This COO confirms the country where the product was manufactured, and also details the materials and components used in it and whether it is derived from natural, synthetic, or other specific sources. This certificate may be required for customs, trade, and regulatory compliance.
*Catalog Number
*Lot Number
Safety Data Sheets (SDS)
The SDS provides comprehensive safety information on handling, storage, and disposal of the product.
DownloadProduct Specification (PS)
The PS provides a comprehensive breakdown of the product’s properties, including chemical composition, physical state, purity, and storage requirements. It also details acceptable quality ranges and the product's intended applications.
DownloadCertificates of Analysis (COA)
Search for Certificates of Analysis (COA) by entering the products Lot Number. Lot and Batch Numbers can be found on a product’s label following the words ‘Lot’ or ‘Batch’.
*Catalog Number
*Lot Number
Certificates Of Origin (COO)
This COO confirms the country where the product was manufactured, and also details the materials and components used in it and whether it is derived from natural, synthetic, or other specific sources. This certificate may be required for customs, trade, and regulatory compliance.
