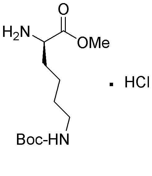
Ne-Boc-D-lysine methyl ester hydrochloride is widely utilized in research focused on:
- Peptide Synthesis: This compound serves as a key building block in the synthesis of peptides, particularly in the development of therapeutic agents and biologically active compounds.
- Drug Development: It plays a crucial role in the pharmaceutical industry for creating drug candidates that target specific biological pathways, enhancing efficacy and reducing side effects.
- Bioconjugation: Researchers use it for bioconjugation processes, allowing for the attachment of drugs or imaging agents to biomolecules, which is essential in targeted therapy and diagnostics.
- Protein Modification: The compound is employed in modifying proteins to study their structure and function, aiding in the understanding of various biological processes.
- Research in Immunology: It is utilized in the synthesis of immunogenic peptides, contributing to vaccine development and immune response studies.
General Information
Properties
Safety and Regulations
Applications
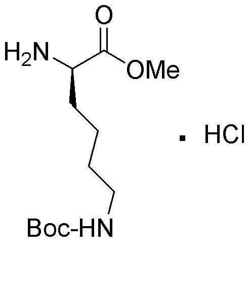
Ne-Boc-D-lysine methyl ester hydrochloride is widely utilized in research focused on:
- Peptide Synthesis: This compound serves as a key building block in the synthesis of peptides, particularly in the development of therapeutic agents and biologically active compounds.
- Drug Development: It plays a crucial role in the pharmaceutical industry for creating drug candidates that target specific biological pathways, enhancing efficacy and reducing side effects.
- Bioconjugation: Researchers use it for bioconjugation processes, allowing for the attachment of drugs or imaging agents to biomolecules, which is essential in targeted therapy and diagnostics.
- Protein Modification: The compound is employed in modifying proteins to study their structure and function, aiding in the understanding of various biological processes.
- Research in Immunology: It is utilized in the synthesis of immunogenic peptides, contributing to vaccine development and immune response studies.
Documents
Safety Data Sheets (SDS)
The SDS provides comprehensive safety information on handling, storage, and disposal of the product.
Product Specification (PS)
The PS provides a comprehensive breakdown of the product’s properties, including chemical composition, physical state, purity, and storage requirements. It also details acceptable quality ranges and the product's intended applications.
Certificates of Analysis (COA)
Search for Certificates of Analysis (COA) by entering the products Lot Number. Lot and Batch Numbers can be found on a product’s label following the words ‘Lot’ or ‘Batch’.
*Catalog Number
*Lot Number
Certificates Of Origin (COO)
This COO confirms the country where the product was manufactured, and also details the materials and components used in it and whether it is derived from natural, synthetic, or other specific sources. This certificate may be required for customs, trade, and regulatory compliance.
*Catalog Number
*Lot Number
Safety Data Sheets (SDS)
The SDS provides comprehensive safety information on handling, storage, and disposal of the product.
DownloadProduct Specification (PS)
The PS provides a comprehensive breakdown of the product’s properties, including chemical composition, physical state, purity, and storage requirements. It also details acceptable quality ranges and the product's intended applications.
DownloadCertificates of Analysis (COA)
Search for Certificates of Analysis (COA) by entering the products Lot Number. Lot and Batch Numbers can be found on a product’s label following the words ‘Lot’ or ‘Batch’.
*Catalog Number
*Lot Number
Certificates Of Origin (COO)
This COO confirms the country where the product was manufactured, and also details the materials and components used in it and whether it is derived from natural, synthetic, or other specific sources. This certificate may be required for customs, trade, and regulatory compliance.
