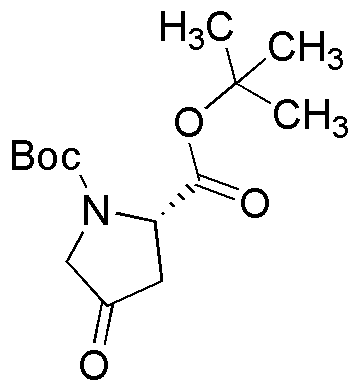
Boc-4-oxo-L-proline tert-butyl ester is widely utilized in research focused on
- Synthetic Chemistry: This compound serves as a versatile building block in the synthesis of various peptides and amino acids, facilitating the development of new pharmaceuticals.
- Drug Development: Its unique structure allows for the modification of drug candidates, enhancing their efficacy and stability, which is crucial in the pharmaceutical industry.
- Biotechnology: Used in the production of biologically active compounds, it plays a role in the development of therapeutic proteins and enzymes.
- Material Science: The compound can be incorporated into polymers, improving material properties for applications in coatings and adhesives.
- Research Applications: Frequently employed in academic studies to explore reaction mechanisms and develop new synthetic methodologies, aiding researchers in advancing their work.
General Information
Properties
Safety and Regulations
Applications
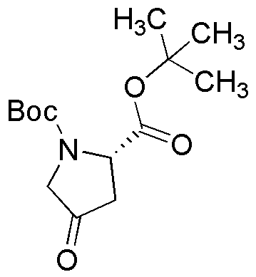
Boc-4-oxo-L-proline tert-butyl ester is widely utilized in research focused on
- Synthetic Chemistry: This compound serves as a versatile building block in the synthesis of various peptides and amino acids, facilitating the development of new pharmaceuticals.
- Drug Development: Its unique structure allows for the modification of drug candidates, enhancing their efficacy and stability, which is crucial in the pharmaceutical industry.
- Biotechnology: Used in the production of biologically active compounds, it plays a role in the development of therapeutic proteins and enzymes.
- Material Science: The compound can be incorporated into polymers, improving material properties for applications in coatings and adhesives.
- Research Applications: Frequently employed in academic studies to explore reaction mechanisms and develop new synthetic methodologies, aiding researchers in advancing their work.
Documents
Safety Data Sheets (SDS)
The SDS provides comprehensive safety information on handling, storage, and disposal of the product.
Product Specification (PS)
The PS provides a comprehensive breakdown of the product’s properties, including chemical composition, physical state, purity, and storage requirements. It also details acceptable quality ranges and the product's intended applications.
Certificates of Analysis (COA)
Search for Certificates of Analysis (COA) by entering the products Lot Number. Lot and Batch Numbers can be found on a product’s label following the words ‘Lot’ or ‘Batch’.
*Catalog Number
*Lot Number
Certificates Of Origin (COO)
This COO confirms the country where the product was manufactured, and also details the materials and components used in it and whether it is derived from natural, synthetic, or other specific sources. This certificate may be required for customs, trade, and regulatory compliance.
*Catalog Number
*Lot Number
Safety Data Sheets (SDS)
The SDS provides comprehensive safety information on handling, storage, and disposal of the product.
DownloadProduct Specification (PS)
The PS provides a comprehensive breakdown of the product’s properties, including chemical composition, physical state, purity, and storage requirements. It also details acceptable quality ranges and the product's intended applications.
DownloadCertificates of Analysis (COA)
Search for Certificates of Analysis (COA) by entering the products Lot Number. Lot and Batch Numbers can be found on a product’s label following the words ‘Lot’ or ‘Batch’.
*Catalog Number
*Lot Number
Certificates Of Origin (COO)
This COO confirms the country where the product was manufactured, and also details the materials and components used in it and whether it is derived from natural, synthetic, or other specific sources. This certificate may be required for customs, trade, and regulatory compliance.
