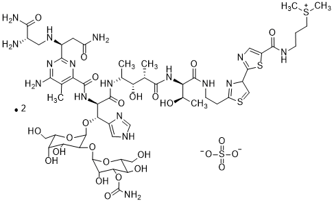
Bleomycin sulfate from Streptomyces Verticillus is widely utilized in research focused on:
- Cancer Treatment: This compound is primarily known for its role as an antitumor agent, particularly in treating testicular cancer and Hodgkin's lymphoma. Its ability to induce DNA damage in cancer cells makes it a valuable tool in oncology.
- Research in Cell Biology: Researchers use bleomycin to study the mechanisms of DNA repair and apoptosis. By inducing specific types of DNA damage, scientists can explore how cells respond to stress and the pathways involved in cell death.
- Veterinary Medicine: In veterinary applications, bleomycin is sometimes used to treat certain types of tumors in animals, providing an alternative treatment option for veterinarians dealing with malignancies.
- Gene Therapy Research: Bleomycin's unique properties make it a candidate for studies in gene therapy, particularly in understanding how to deliver therapeutic genes effectively while minimizing damage to surrounding healthy tissue.
- Pharmaceutical Development: The compound is also significant in the development of new drugs, as its mechanisms of action can inspire the design of novel anticancer therapies that target similar pathways.
General Information
Properties
Safety and Regulations
Applications
Bleomycin sulfate from Streptomyces Verticillus is widely utilized in research focused on:
- Cancer Treatment: This compound is primarily known for its role as an antitumor agent, particularly in treating testicular cancer and Hodgkin's lymphoma. Its ability to induce DNA damage in cancer cells makes it a valuable tool in oncology.
- Research in Cell Biology: Researchers use bleomycin to study the mechanisms of DNA repair and apoptosis. By inducing specific types of DNA damage, scientists can explore how cells respond to stress and the pathways involved in cell death.
- Veterinary Medicine: In veterinary applications, bleomycin is sometimes used to treat certain types of tumors in animals, providing an alternative treatment option for veterinarians dealing with malignancies.
- Gene Therapy Research: Bleomycin's unique properties make it a candidate for studies in gene therapy, particularly in understanding how to deliver therapeutic genes effectively while minimizing damage to surrounding healthy tissue.
- Pharmaceutical Development: The compound is also significant in the development of new drugs, as its mechanisms of action can inspire the design of novel anticancer therapies that target similar pathways.
Documents
Safety Data Sheets (SDS)
The SDS provides comprehensive safety information on handling, storage, and disposal of the product.
Product Specification (PS)
The PS provides a comprehensive breakdown of the product’s properties, including chemical composition, physical state, purity, and storage requirements. It also details acceptable quality ranges and the product's intended applications.
Certificates of Analysis (COA)
Search for Certificates of Analysis (COA) by entering the products Lot Number. Lot and Batch Numbers can be found on a product’s label following the words ‘Lot’ or ‘Batch’.
*Catalog Number
*Lot Number
Certificates Of Origin (COO)
This COO confirms the country where the product was manufactured, and also details the materials and components used in it and whether it is derived from natural, synthetic, or other specific sources. This certificate may be required for customs, trade, and regulatory compliance.
*Catalog Number
*Lot Number
Safety Data Sheets (SDS)
The SDS provides comprehensive safety information on handling, storage, and disposal of the product.
DownloadProduct Specification (PS)
The PS provides a comprehensive breakdown of the product’s properties, including chemical composition, physical state, purity, and storage requirements. It also details acceptable quality ranges and the product's intended applications.
DownloadCertificates of Analysis (COA)
Search for Certificates of Analysis (COA) by entering the products Lot Number. Lot and Batch Numbers can be found on a product’s label following the words ‘Lot’ or ‘Batch’.
*Catalog Number
*Lot Number
Certificates Of Origin (COO)
This COO confirms the country where the product was manufactured, and also details the materials and components used in it and whether it is derived from natural, synthetic, or other specific sources. This certificate may be required for customs, trade, and regulatory compliance.
