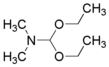
N,N-Dimethylformamide diethyl acetal is widely utilized in research focused on:
- Synthesis of Fine Chemicals: This compound serves as a versatile solvent and reagent in the synthesis of various fine chemicals, including pharmaceuticals and agrochemicals, enhancing reaction efficiency and yield.
- Polymer Production: It is employed in the production of polymers, acting as a solvent that improves the solubility of different monomers, leading to higher quality materials used in coatings and adhesives.
- Laboratory Reagent: As a reagent in organic synthesis, it is used for the protection of amines and other functional groups, facilitating complex chemical transformations in research labs.
- Electrochemical Applications: This compound is utilized in electrochemical cells, where it serves as a solvent that enhances ionic conductivity, improving the performance of batteries and fuel cells.
- Environmental Applications: It plays a role in the development of biodegradable materials, contributing to eco-friendly solutions in various industries, thus addressing environmental challenges.
General Information
Properties
Safety and Regulations
Applications
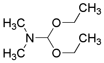
N,N-Dimethylformamide diethyl acetal is widely utilized in research focused on:
- Synthesis of Fine Chemicals: This compound serves as a versatile solvent and reagent in the synthesis of various fine chemicals, including pharmaceuticals and agrochemicals, enhancing reaction efficiency and yield.
- Polymer Production: It is employed in the production of polymers, acting as a solvent that improves the solubility of different monomers, leading to higher quality materials used in coatings and adhesives.
- Laboratory Reagent: As a reagent in organic synthesis, it is used for the protection of amines and other functional groups, facilitating complex chemical transformations in research labs.
- Electrochemical Applications: This compound is utilized in electrochemical cells, where it serves as a solvent that enhances ionic conductivity, improving the performance of batteries and fuel cells.
- Environmental Applications: It plays a role in the development of biodegradable materials, contributing to eco-friendly solutions in various industries, thus addressing environmental challenges.
Documents
Safety Data Sheets (SDS)
The SDS provides comprehensive safety information on handling, storage, and disposal of the product.
Product Specification (PS)
The PS provides a comprehensive breakdown of the product’s properties, including chemical composition, physical state, purity, and storage requirements. It also details acceptable quality ranges and the product's intended applications.
Certificates of Analysis (COA)
Search for Certificates of Analysis (COA) by entering the products Lot Number. Lot and Batch Numbers can be found on a product’s label following the words ‘Lot’ or ‘Batch’.
*Catalog Number
*Lot Number
Certificates Of Origin (COO)
This COO confirms the country where the product was manufactured, and also details the materials and components used in it and whether it is derived from natural, synthetic, or other specific sources. This certificate may be required for customs, trade, and regulatory compliance.
*Catalog Number
*Lot Number
Safety Data Sheets (SDS)
The SDS provides comprehensive safety information on handling, storage, and disposal of the product.
DownloadProduct Specification (PS)
The PS provides a comprehensive breakdown of the product’s properties, including chemical composition, physical state, purity, and storage requirements. It also details acceptable quality ranges and the product's intended applications.
DownloadCertificates of Analysis (COA)
Search for Certificates of Analysis (COA) by entering the products Lot Number. Lot and Batch Numbers can be found on a product’s label following the words ‘Lot’ or ‘Batch’.
*Catalog Number
*Lot Number
Certificates Of Origin (COO)
This COO confirms the country where the product was manufactured, and also details the materials and components used in it and whether it is derived from natural, synthetic, or other specific sources. This certificate may be required for customs, trade, and regulatory compliance.
