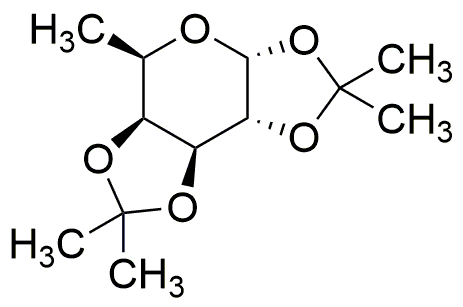
1,2,3,4-Di-O-isopropylidene-a-D-fucopyranose is widely utilized in research focused on:
- Carbohydrate Chemistry: This compound serves as a protecting group for carbohydrates during synthesis, allowing chemists to manipulate other functional groups without affecting the sugar moiety.
- Drug Development: It is used in the formulation of glycosylated drugs, enhancing their stability and bioavailability, which is crucial in pharmaceutical applications.
- Biotechnology: Researchers employ this compound in the development of glycoproteins, which are vital for vaccine production and therapeutic proteins.
- Food Industry: It finds application in the modification of food polysaccharides, improving texture and shelf-life, which benefits food manufacturers.
- Analytical Chemistry: This chemical is utilized in the preparation of standards for chromatography, aiding in the accurate analysis of complex mixtures in various samples.
General Information
Properties
Safety and Regulations
Applications
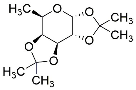
1,2,3,4-Di-O-isopropylidene-a-D-fucopyranose is widely utilized in research focused on:
- Carbohydrate Chemistry: This compound serves as a protecting group for carbohydrates during synthesis, allowing chemists to manipulate other functional groups without affecting the sugar moiety.
- Drug Development: It is used in the formulation of glycosylated drugs, enhancing their stability and bioavailability, which is crucial in pharmaceutical applications.
- Biotechnology: Researchers employ this compound in the development of glycoproteins, which are vital for vaccine production and therapeutic proteins.
- Food Industry: It finds application in the modification of food polysaccharides, improving texture and shelf-life, which benefits food manufacturers.
- Analytical Chemistry: This chemical is utilized in the preparation of standards for chromatography, aiding in the accurate analysis of complex mixtures in various samples.
Documents
Safety Data Sheets (SDS)
The SDS provides comprehensive safety information on handling, storage, and disposal of the product.
Product Specification (PS)
The PS provides a comprehensive breakdown of the product’s properties, including chemical composition, physical state, purity, and storage requirements. It also details acceptable quality ranges and the product's intended applications.
Certificates of Analysis (COA)
Search for Certificates of Analysis (COA) by entering the products Lot Number. Lot and Batch Numbers can be found on a product’s label following the words ‘Lot’ or ‘Batch’.
*Catalog Number
*Lot Number
Certificates Of Origin (COO)
This COO confirms the country where the product was manufactured, and also details the materials and components used in it and whether it is derived from natural, synthetic, or other specific sources. This certificate may be required for customs, trade, and regulatory compliance.
*Catalog Number
*Lot Number
Safety Data Sheets (SDS)
The SDS provides comprehensive safety information on handling, storage, and disposal of the product.
DownloadProduct Specification (PS)
The PS provides a comprehensive breakdown of the product’s properties, including chemical composition, physical state, purity, and storage requirements. It also details acceptable quality ranges and the product's intended applications.
DownloadCertificates of Analysis (COA)
Search for Certificates of Analysis (COA) by entering the products Lot Number. Lot and Batch Numbers can be found on a product’s label following the words ‘Lot’ or ‘Batch’.
*Catalog Number
*Lot Number
Certificates Of Origin (COO)
This COO confirms the country where the product was manufactured, and also details the materials and components used in it and whether it is derived from natural, synthetic, or other specific sources. This certificate may be required for customs, trade, and regulatory compliance.
