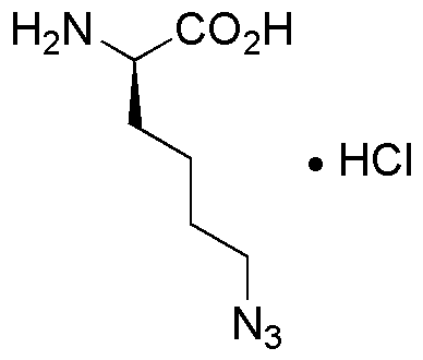
Ne-Azido-D-Lysine hydrochloride is widely utilized in research focused on:
- Bioconjugation: This compound serves as a versatile tool for attaching biomolecules, such as proteins or peptides, to surfaces or other molecules, enhancing the development of targeted drug delivery systems.
- Protein Labeling: It allows researchers to introduce azide groups into proteins, facilitating the study of protein interactions and dynamics through click chemistry techniques.
- Antibody Development: The compound can be used in the production of antibodies by modifying antigens, improving the specificity and efficacy of immunoassays in diagnostics.
- Cellular Imaging: Ne-Azido-D-Lysine hydrochloride can be incorporated into cellular systems for imaging applications, aiding in the visualization of cellular processes and structures.
- Drug Design: Its unique properties enable the exploration of new therapeutic agents, particularly in the development of novel antibiotics or antiviral compounds by modifying existing drug frameworks.
General Information
Properties
Safety and Regulations
Applications
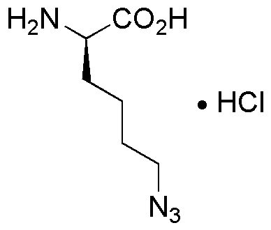
Ne-Azido-D-Lysine hydrochloride is widely utilized in research focused on:
- Bioconjugation: This compound serves as a versatile tool for attaching biomolecules, such as proteins or peptides, to surfaces or other molecules, enhancing the development of targeted drug delivery systems.
- Protein Labeling: It allows researchers to introduce azide groups into proteins, facilitating the study of protein interactions and dynamics through click chemistry techniques.
- Antibody Development: The compound can be used in the production of antibodies by modifying antigens, improving the specificity and efficacy of immunoassays in diagnostics.
- Cellular Imaging: Ne-Azido-D-Lysine hydrochloride can be incorporated into cellular systems for imaging applications, aiding in the visualization of cellular processes and structures.
- Drug Design: Its unique properties enable the exploration of new therapeutic agents, particularly in the development of novel antibiotics or antiviral compounds by modifying existing drug frameworks.
Documents
Safety Data Sheets (SDS)
The SDS provides comprehensive safety information on handling, storage, and disposal of the product.
Product Specification (PS)
The PS provides a comprehensive breakdown of the product’s properties, including chemical composition, physical state, purity, and storage requirements. It also details acceptable quality ranges and the product's intended applications.
Certificates of Analysis (COA)
Search for Certificates of Analysis (COA) by entering the products Lot Number. Lot and Batch Numbers can be found on a product’s label following the words ‘Lot’ or ‘Batch’.
*Catalog Number
*Lot Number
Certificates Of Origin (COO)
This COO confirms the country where the product was manufactured, and also details the materials and components used in it and whether it is derived from natural, synthetic, or other specific sources. This certificate may be required for customs, trade, and regulatory compliance.
*Catalog Number
*Lot Number
Safety Data Sheets (SDS)
The SDS provides comprehensive safety information on handling, storage, and disposal of the product.
DownloadProduct Specification (PS)
The PS provides a comprehensive breakdown of the product’s properties, including chemical composition, physical state, purity, and storage requirements. It also details acceptable quality ranges and the product's intended applications.
DownloadCertificates of Analysis (COA)
Search for Certificates of Analysis (COA) by entering the products Lot Number. Lot and Batch Numbers can be found on a product’s label following the words ‘Lot’ or ‘Batch’.
*Catalog Number
*Lot Number
Certificates Of Origin (COO)
This COO confirms the country where the product was manufactured, and also details the materials and components used in it and whether it is derived from natural, synthetic, or other specific sources. This certificate may be required for customs, trade, and regulatory compliance.
