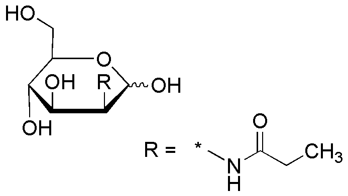
N-Propanoyl mannosamine is widely utilized in research focused on:
- Biotechnology: This compound serves as a building block in the synthesis of glycosylated compounds, which are essential for developing new biopharmaceuticals and vaccines.
- Drug Development: It plays a crucial role in the formulation of novel drug candidates, particularly in targeting specific cellular pathways, enhancing therapeutic efficacy.
- Food Industry: N-Propanoyl mannosamine is explored for its potential as a food additive, contributing to improved texture and stability in various products.
- Cosmetics: This chemical is being studied for its moisturizing properties, making it a valuable ingredient in skin care formulations aimed at enhancing hydration and skin health.
- Research on Glycobiology: It is used in studies investigating the role of carbohydrates in biological processes, helping researchers understand cell signaling and immune responses.
General Information
Properties
Safety and Regulations
Applications
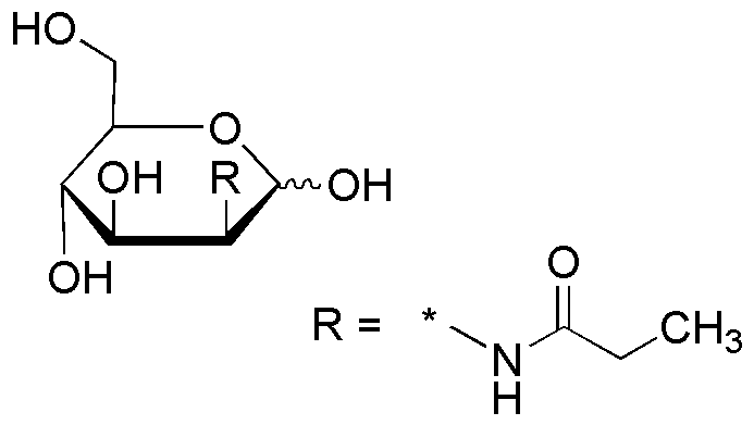
N-Propanoyl mannosamine is widely utilized in research focused on:
- Biotechnology: This compound serves as a building block in the synthesis of glycosylated compounds, which are essential for developing new biopharmaceuticals and vaccines.
- Drug Development: It plays a crucial role in the formulation of novel drug candidates, particularly in targeting specific cellular pathways, enhancing therapeutic efficacy.
- Food Industry: N-Propanoyl mannosamine is explored for its potential as a food additive, contributing to improved texture and stability in various products.
- Cosmetics: This chemical is being studied for its moisturizing properties, making it a valuable ingredient in skin care formulations aimed at enhancing hydration and skin health.
- Research on Glycobiology: It is used in studies investigating the role of carbohydrates in biological processes, helping researchers understand cell signaling and immune responses.
Documents
Safety Data Sheets (SDS)
The SDS provides comprehensive safety information on handling, storage, and disposal of the product.
Product Specification (PS)
The PS provides a comprehensive breakdown of the product’s properties, including chemical composition, physical state, purity, and storage requirements. It also details acceptable quality ranges and the product's intended applications.
Certificates of Analysis (COA)
Search for Certificates of Analysis (COA) by entering the products Lot Number. Lot and Batch Numbers can be found on a product’s label following the words ‘Lot’ or ‘Batch’.
*Catalog Number
*Lot Number
Certificates Of Origin (COO)
This COO confirms the country where the product was manufactured, and also details the materials and components used in it and whether it is derived from natural, synthetic, or other specific sources. This certificate may be required for customs, trade, and regulatory compliance.
*Catalog Number
*Lot Number
Safety Data Sheets (SDS)
The SDS provides comprehensive safety information on handling, storage, and disposal of the product.
DownloadProduct Specification (PS)
The PS provides a comprehensive breakdown of the product’s properties, including chemical composition, physical state, purity, and storage requirements. It also details acceptable quality ranges and the product's intended applications.
DownloadCertificates of Analysis (COA)
Search for Certificates of Analysis (COA) by entering the products Lot Number. Lot and Batch Numbers can be found on a product’s label following the words ‘Lot’ or ‘Batch’.
*Catalog Number
*Lot Number
Certificates Of Origin (COO)
This COO confirms the country where the product was manufactured, and also details the materials and components used in it and whether it is derived from natural, synthetic, or other specific sources. This certificate may be required for customs, trade, and regulatory compliance.
