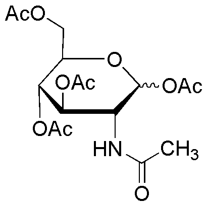
2-Acetamido-1,3,4,6-tetra-O-acetyl-2-deoxy-D-galactopyranose is widely utilized in research focused on:
- Pharmaceutical Development: This compound serves as a key intermediate in synthesizing various pharmaceuticals, particularly those targeting glycosylation processes, enhancing drug efficacy and specificity.
- Biotechnology: It is used in the production of glycoproteins and other biomolecules, which are essential for developing vaccines and therapeutic proteins, improving their stability and activity.
- Food Industry: The compound can be utilized as a food additive or preservative, contributing to flavor enhancement and shelf-life extension without compromising safety.
- Research in Glycobiology: It plays a critical role in studying carbohydrate structures and functions, aiding researchers in understanding cell signaling and interactions, which is vital for disease research.
- Cosmetic Formulations: This chemical is incorporated into skincare products for its moisturizing properties, helping to improve skin hydration and texture, making it a popular choice among cosmetic formulators.
General Information
Properties
Safety and Regulations
Applications
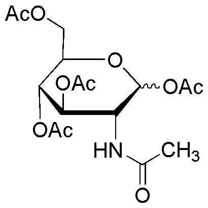
2-Acetamido-1,3,4,6-tetra-O-acetyl-2-deoxy-D-galactopyranose is widely utilized in research focused on:
- Pharmaceutical Development: This compound serves as a key intermediate in synthesizing various pharmaceuticals, particularly those targeting glycosylation processes, enhancing drug efficacy and specificity.
- Biotechnology: It is used in the production of glycoproteins and other biomolecules, which are essential for developing vaccines and therapeutic proteins, improving their stability and activity.
- Food Industry: The compound can be utilized as a food additive or preservative, contributing to flavor enhancement and shelf-life extension without compromising safety.
- Research in Glycobiology: It plays a critical role in studying carbohydrate structures and functions, aiding researchers in understanding cell signaling and interactions, which is vital for disease research.
- Cosmetic Formulations: This chemical is incorporated into skincare products for its moisturizing properties, helping to improve skin hydration and texture, making it a popular choice among cosmetic formulators.
Documents
Safety Data Sheets (SDS)
The SDS provides comprehensive safety information on handling, storage, and disposal of the product.
Product Specification (PS)
The PS provides a comprehensive breakdown of the product’s properties, including chemical composition, physical state, purity, and storage requirements. It also details acceptable quality ranges and the product's intended applications.
Certificates of Analysis (COA)
Search for Certificates of Analysis (COA) by entering the products Lot Number. Lot and Batch Numbers can be found on a product’s label following the words ‘Lot’ or ‘Batch’.
*Catalog Number
*Lot Number
Certificates Of Origin (COO)
This COO confirms the country where the product was manufactured, and also details the materials and components used in it and whether it is derived from natural, synthetic, or other specific sources. This certificate may be required for customs, trade, and regulatory compliance.
*Catalog Number
*Lot Number
Safety Data Sheets (SDS)
The SDS provides comprehensive safety information on handling, storage, and disposal of the product.
DownloadProduct Specification (PS)
The PS provides a comprehensive breakdown of the product’s properties, including chemical composition, physical state, purity, and storage requirements. It also details acceptable quality ranges and the product's intended applications.
DownloadCertificates of Analysis (COA)
Search for Certificates of Analysis (COA) by entering the products Lot Number. Lot and Batch Numbers can be found on a product’s label following the words ‘Lot’ or ‘Batch’.
*Catalog Number
*Lot Number
Certificates Of Origin (COO)
This COO confirms the country where the product was manufactured, and also details the materials and components used in it and whether it is derived from natural, synthetic, or other specific sources. This certificate may be required for customs, trade, and regulatory compliance.
