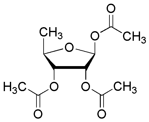
1,2,3-Tri-O-acetyl-5-deoxy-b-D-ribofuranose is widely utilized in research focused on:
- Nucleoside Synthesis: This compound serves as a key intermediate in the synthesis of nucleosides, which are essential for the development of antiviral and anticancer drugs.
- Biochemical Research: It is used in studies involving carbohydrate chemistry, helping researchers understand glycosylation processes and enzyme interactions.
- Drug Development: The compound plays a role in formulating prodrugs that enhance bioavailability, making it a valuable asset in pharmaceutical development.
- Diagnostic Applications: It can be utilized in the creation of molecular probes for detecting specific biomolecules, aiding in disease diagnosis.
- Material Science: The compound is explored for its potential in developing biocompatible materials, which can be used in medical devices and tissue engineering.
General Information
Properties
Safety and Regulations
Applications
1,2,3-Tri-O-acetyl-5-deoxy-b-D-ribofuranose is widely utilized in research focused on:
- Nucleoside Synthesis: This compound serves as a key intermediate in the synthesis of nucleosides, which are essential for the development of antiviral and anticancer drugs.
- Biochemical Research: It is used in studies involving carbohydrate chemistry, helping researchers understand glycosylation processes and enzyme interactions.
- Drug Development: The compound plays a role in formulating prodrugs that enhance bioavailability, making it a valuable asset in pharmaceutical development.
- Diagnostic Applications: It can be utilized in the creation of molecular probes for detecting specific biomolecules, aiding in disease diagnosis.
- Material Science: The compound is explored for its potential in developing biocompatible materials, which can be used in medical devices and tissue engineering.
Documents
Safety Data Sheets (SDS)
The SDS provides comprehensive safety information on handling, storage, and disposal of the product.
Product Specification (PS)
The PS provides a comprehensive breakdown of the product’s properties, including chemical composition, physical state, purity, and storage requirements. It also details acceptable quality ranges and the product's intended applications.
Certificates of Analysis (COA)
Search for Certificates of Analysis (COA) by entering the products Lot Number. Lot and Batch Numbers can be found on a product’s label following the words ‘Lot’ or ‘Batch’.
*Catalog Number
*Lot Number
Certificates Of Origin (COO)
This COO confirms the country where the product was manufactured, and also details the materials and components used in it and whether it is derived from natural, synthetic, or other specific sources. This certificate may be required for customs, trade, and regulatory compliance.
*Catalog Number
*Lot Number
Safety Data Sheets (SDS)
The SDS provides comprehensive safety information on handling, storage, and disposal of the product.
DownloadProduct Specification (PS)
The PS provides a comprehensive breakdown of the product’s properties, including chemical composition, physical state, purity, and storage requirements. It also details acceptable quality ranges and the product's intended applications.
DownloadCertificates of Analysis (COA)
Search for Certificates of Analysis (COA) by entering the products Lot Number. Lot and Batch Numbers can be found on a product’s label following the words ‘Lot’ or ‘Batch’.
*Catalog Number
*Lot Number
Certificates Of Origin (COO)
This COO confirms the country where the product was manufactured, and also details the materials and components used in it and whether it is derived from natural, synthetic, or other specific sources. This certificate may be required for customs, trade, and regulatory compliance.
