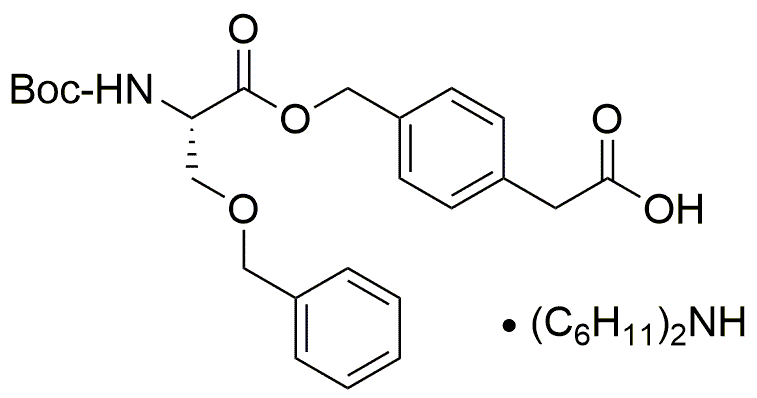
Boc-L-Ser(Bzl)-O-CH2-Ph-CH2-COOH·DCHA is widely utilized in research focused on
- Peptide Synthesis: This compound serves as a key building block in the synthesis of peptides, which are essential for developing new drugs and therapeutic agents.
- Drug Development: Its unique structure allows for modifications that can enhance the efficacy and specificity of pharmaceutical compounds, making it valuable in the pharmaceutical industry.
- Bioconjugation: The compound can be used in bioconjugation processes to attach biomolecules to surfaces or other molecules, facilitating targeted drug delivery systems.
- Research in Neuroscience: It is employed in studies related to neurotransmitter functions, helping researchers understand neurological pathways and potential treatments for disorders.
- Cosmetic Formulations: The compound's properties make it suitable for use in cosmetic products, particularly in formulations aimed at skin hydration and repair.
General Information
Properties
Safety and Regulations
Applications
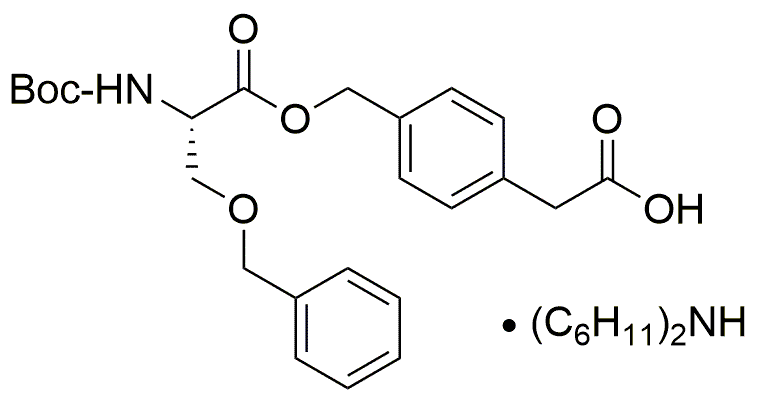
Boc-L-Ser(Bzl)-O-CH2-Ph-CH2-COOH·DCHA is widely utilized in research focused on
- Peptide Synthesis: This compound serves as a key building block in the synthesis of peptides, which are essential for developing new drugs and therapeutic agents.
- Drug Development: Its unique structure allows for modifications that can enhance the efficacy and specificity of pharmaceutical compounds, making it valuable in the pharmaceutical industry.
- Bioconjugation: The compound can be used in bioconjugation processes to attach biomolecules to surfaces or other molecules, facilitating targeted drug delivery systems.
- Research in Neuroscience: It is employed in studies related to neurotransmitter functions, helping researchers understand neurological pathways and potential treatments for disorders.
- Cosmetic Formulations: The compound's properties make it suitable for use in cosmetic products, particularly in formulations aimed at skin hydration and repair.
Documents
Safety Data Sheets (SDS)
The SDS provides comprehensive safety information on handling, storage, and disposal of the product.
Product Specification (PS)
The PS provides a comprehensive breakdown of the product’s properties, including chemical composition, physical state, purity, and storage requirements. It also details acceptable quality ranges and the product's intended applications.
Certificates of Analysis (COA)
Search for Certificates of Analysis (COA) by entering the products Lot Number. Lot and Batch Numbers can be found on a product’s label following the words ‘Lot’ or ‘Batch’.
*Catalog Number
*Lot Number
Certificates Of Origin (COO)
This COO confirms the country where the product was manufactured, and also details the materials and components used in it and whether it is derived from natural, synthetic, or other specific sources. This certificate may be required for customs, trade, and regulatory compliance.
*Catalog Number
*Lot Number
Safety Data Sheets (SDS)
The SDS provides comprehensive safety information on handling, storage, and disposal of the product.
DownloadProduct Specification (PS)
The PS provides a comprehensive breakdown of the product’s properties, including chemical composition, physical state, purity, and storage requirements. It also details acceptable quality ranges and the product's intended applications.
DownloadCertificates of Analysis (COA)
Search for Certificates of Analysis (COA) by entering the products Lot Number. Lot and Batch Numbers can be found on a product’s label following the words ‘Lot’ or ‘Batch’.
*Catalog Number
*Lot Number
Certificates Of Origin (COO)
This COO confirms the country where the product was manufactured, and also details the materials and components used in it and whether it is derived from natural, synthetic, or other specific sources. This certificate may be required for customs, trade, and regulatory compliance.
