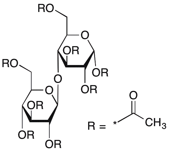
a-D-Cellobiose octaacetate is widely utilized in research focused on:
- Glycobiology Research: This compound serves as a valuable tool for studying carbohydrate structures and interactions, aiding researchers in understanding complex biological processes.
- Drug Development: It is used in the synthesis of glycosylated compounds, which can enhance the efficacy and stability of pharmaceuticals, making it crucial in the development of new medications.
- Food Industry: This chemical can be employed as a food additive to modify texture and stability, providing manufacturers with a means to improve product quality.
- Biotechnology: In enzyme research, it acts as a substrate for various glycosyltransferases, helping scientists explore enzyme mechanisms and develop biocatalysts.
- Analytical Chemistry: It is utilized in chromatographic techniques for the separation and analysis of carbohydrates, offering precise insights into carbohydrate composition in various samples.
General Information
Properties
Safety and Regulations
Applications
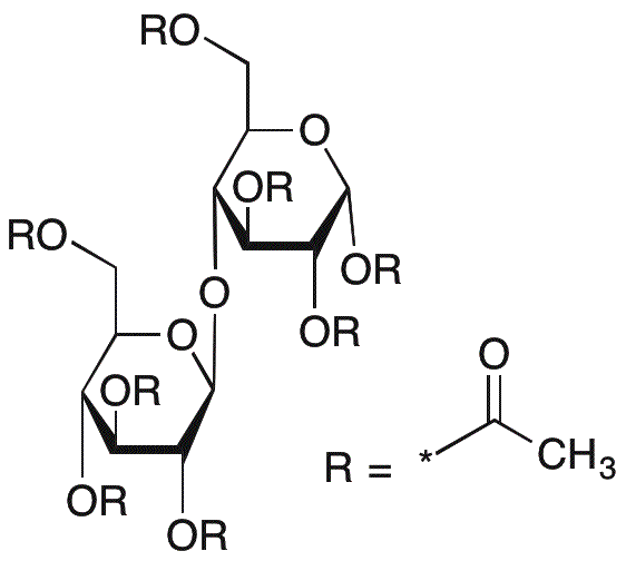
a-D-Cellobiose octaacetate is widely utilized in research focused on:
- Glycobiology Research: This compound serves as a valuable tool for studying carbohydrate structures and interactions, aiding researchers in understanding complex biological processes.
- Drug Development: It is used in the synthesis of glycosylated compounds, which can enhance the efficacy and stability of pharmaceuticals, making it crucial in the development of new medications.
- Food Industry: This chemical can be employed as a food additive to modify texture and stability, providing manufacturers with a means to improve product quality.
- Biotechnology: In enzyme research, it acts as a substrate for various glycosyltransferases, helping scientists explore enzyme mechanisms and develop biocatalysts.
- Analytical Chemistry: It is utilized in chromatographic techniques for the separation and analysis of carbohydrates, offering precise insights into carbohydrate composition in various samples.
Documents
Safety Data Sheets (SDS)
The SDS provides comprehensive safety information on handling, storage, and disposal of the product.
Product Specification (PS)
The PS provides a comprehensive breakdown of the product’s properties, including chemical composition, physical state, purity, and storage requirements. It also details acceptable quality ranges and the product's intended applications.
Certificates of Analysis (COA)
Search for Certificates of Analysis (COA) by entering the products Lot Number. Lot and Batch Numbers can be found on a product’s label following the words ‘Lot’ or ‘Batch’.
*Catalog Number
*Lot Number
Certificates Of Origin (COO)
This COO confirms the country where the product was manufactured, and also details the materials and components used in it and whether it is derived from natural, synthetic, or other specific sources. This certificate may be required for customs, trade, and regulatory compliance.
*Catalog Number
*Lot Number
Safety Data Sheets (SDS)
The SDS provides comprehensive safety information on handling, storage, and disposal of the product.
DownloadProduct Specification (PS)
The PS provides a comprehensive breakdown of the product’s properties, including chemical composition, physical state, purity, and storage requirements. It also details acceptable quality ranges and the product's intended applications.
DownloadCertificates of Analysis (COA)
Search for Certificates of Analysis (COA) by entering the products Lot Number. Lot and Batch Numbers can be found on a product’s label following the words ‘Lot’ or ‘Batch’.
*Catalog Number
*Lot Number
Certificates Of Origin (COO)
This COO confirms the country where the product was manufactured, and also details the materials and components used in it and whether it is derived from natural, synthetic, or other specific sources. This certificate may be required for customs, trade, and regulatory compliance.
