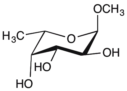
Methyl a-L-fucopyranoside is widely utilized in research focused on:
- Glycobiology Research: This compound serves as a valuable tool for studying glycan structures and their interactions, helping researchers understand cell signaling and immune responses.
- Pharmaceutical Development: It is used in the formulation of drug delivery systems, enhancing the bioavailability of therapeutic agents through improved solubility and stability.
- Food Industry: Methyl a-L-fucopyranoside acts as a flavoring agent and sweetener, providing a natural alternative in various food products while maintaining low caloric content.
- Cosmetic Applications: This compound is incorporated into skincare formulations for its moisturizing properties, contributing to improved skin hydration and texture.
- Diagnostic Tools: It is utilized in the development of diagnostic assays, particularly in detecting specific glycan markers associated with diseases, aiding in early diagnosis and treatment strategies.
General Information
Properties
Safety and Regulations
Applications
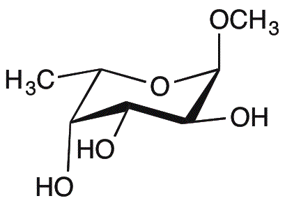
Methyl a-L-fucopyranoside is widely utilized in research focused on:
- Glycobiology Research: This compound serves as a valuable tool for studying glycan structures and their interactions, helping researchers understand cell signaling and immune responses.
- Pharmaceutical Development: It is used in the formulation of drug delivery systems, enhancing the bioavailability of therapeutic agents through improved solubility and stability.
- Food Industry: Methyl a-L-fucopyranoside acts as a flavoring agent and sweetener, providing a natural alternative in various food products while maintaining low caloric content.
- Cosmetic Applications: This compound is incorporated into skincare formulations for its moisturizing properties, contributing to improved skin hydration and texture.
- Diagnostic Tools: It is utilized in the development of diagnostic assays, particularly in detecting specific glycan markers associated with diseases, aiding in early diagnosis and treatment strategies.
Documents
Safety Data Sheets (SDS)
The SDS provides comprehensive safety information on handling, storage, and disposal of the product.
Product Specification (PS)
The PS provides a comprehensive breakdown of the product’s properties, including chemical composition, physical state, purity, and storage requirements. It also details acceptable quality ranges and the product's intended applications.
Certificates of Analysis (COA)
Search for Certificates of Analysis (COA) by entering the products Lot Number. Lot and Batch Numbers can be found on a product’s label following the words ‘Lot’ or ‘Batch’.
*Catalog Number
*Lot Number
Certificates Of Origin (COO)
This COO confirms the country where the product was manufactured, and also details the materials and components used in it and whether it is derived from natural, synthetic, or other specific sources. This certificate may be required for customs, trade, and regulatory compliance.
*Catalog Number
*Lot Number
Safety Data Sheets (SDS)
The SDS provides comprehensive safety information on handling, storage, and disposal of the product.
DownloadProduct Specification (PS)
The PS provides a comprehensive breakdown of the product’s properties, including chemical composition, physical state, purity, and storage requirements. It also details acceptable quality ranges and the product's intended applications.
DownloadCertificates of Analysis (COA)
Search for Certificates of Analysis (COA) by entering the products Lot Number. Lot and Batch Numbers can be found on a product’s label following the words ‘Lot’ or ‘Batch’.
*Catalog Number
*Lot Number
Certificates Of Origin (COO)
This COO confirms the country where the product was manufactured, and also details the materials and components used in it and whether it is derived from natural, synthetic, or other specific sources. This certificate may be required for customs, trade, and regulatory compliance.
