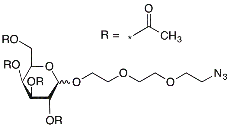
2-[2-(2-Azidoethoxy)ethoxy]ethyl 2,3,4,6-tetra-O-acetyl-D-galactopyranoside is widely utilized in research focused on:
- Bioconjugation: This compound serves as a versatile linker in bioconjugation processes, allowing researchers to attach biomolecules like proteins or antibodies to surfaces or other molecules, enhancing the development of targeted therapies.
- Drug Delivery Systems: Its unique structure aids in the design of drug delivery systems, improving the solubility and stability of therapeutic agents, which is particularly beneficial in pharmaceuticals aimed at treating complex diseases.
- Glycobiology Studies: The compound is valuable in glycobiology for studying carbohydrate-protein interactions, providing insights into cell signaling and recognition processes that are crucial for understanding various biological functions.
- Diagnostics: It can be employed in the development of diagnostic tools, such as assays that detect specific biomolecules, enhancing the accuracy and efficiency of disease diagnosis.
- Material Science: In material science, it can be used to modify surfaces for improved biocompatibility, which is essential for developing medical implants and devices that interact with biological systems.
General Information
Properties
Safety and Regulations
Applications
2-[2-(2-Azidoethoxy)ethoxy]ethyl 2,3,4,6-tetra-O-acetyl-D-galactopyranoside is widely utilized in research focused on:
- Bioconjugation: This compound serves as a versatile linker in bioconjugation processes, allowing researchers to attach biomolecules like proteins or antibodies to surfaces or other molecules, enhancing the development of targeted therapies.
- Drug Delivery Systems: Its unique structure aids in the design of drug delivery systems, improving the solubility and stability of therapeutic agents, which is particularly beneficial in pharmaceuticals aimed at treating complex diseases.
- Glycobiology Studies: The compound is valuable in glycobiology for studying carbohydrate-protein interactions, providing insights into cell signaling and recognition processes that are crucial for understanding various biological functions.
- Diagnostics: It can be employed in the development of diagnostic tools, such as assays that detect specific biomolecules, enhancing the accuracy and efficiency of disease diagnosis.
- Material Science: In material science, it can be used to modify surfaces for improved biocompatibility, which is essential for developing medical implants and devices that interact with biological systems.
Documents
Safety Data Sheets (SDS)
The SDS provides comprehensive safety information on handling, storage, and disposal of the product.
Product Specification (PS)
The PS provides a comprehensive breakdown of the product’s properties, including chemical composition, physical state, purity, and storage requirements. It also details acceptable quality ranges and the product's intended applications.
Certificates of Analysis (COA)
Search for Certificates of Analysis (COA) by entering the products Lot Number. Lot and Batch Numbers can be found on a product’s label following the words ‘Lot’ or ‘Batch’.
*Catalog Number
*Lot Number
Certificates Of Origin (COO)
This COO confirms the country where the product was manufactured, and also details the materials and components used in it and whether it is derived from natural, synthetic, or other specific sources. This certificate may be required for customs, trade, and regulatory compliance.
*Catalog Number
*Lot Number
Safety Data Sheets (SDS)
The SDS provides comprehensive safety information on handling, storage, and disposal of the product.
DownloadProduct Specification (PS)
The PS provides a comprehensive breakdown of the product’s properties, including chemical composition, physical state, purity, and storage requirements. It also details acceptable quality ranges and the product's intended applications.
DownloadCertificates of Analysis (COA)
Search for Certificates of Analysis (COA) by entering the products Lot Number. Lot and Batch Numbers can be found on a product’s label following the words ‘Lot’ or ‘Batch’.
*Catalog Number
*Lot Number
Certificates Of Origin (COO)
This COO confirms the country where the product was manufactured, and also details the materials and components used in it and whether it is derived from natural, synthetic, or other specific sources. This certificate may be required for customs, trade, and regulatory compliance.
![2-[2-(2-Azidoethoxy)ethoxy]ethyl 2,3,4,6-tetra-O-acetyl-D-galactopyranoside](http://www.chemimpex.com/cdn/shop/files/32208_image.gif?v=1725028170&width=1214)