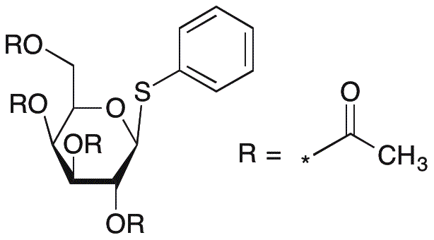
Phenyl 2,3,4,6-tetra-O-acetyl-1-thio-b-D-galactopyranoside is widely utilized in research focused on:
- Glycobiology Studies: This compound serves as a valuable tool for studying carbohydrate-protein interactions, aiding researchers in understanding cellular processes and disease mechanisms.
- Synthesis of Glycosides: It is used in the synthesis of various glycosides, which are important in pharmaceuticals and biochemistry, enhancing the development of new drugs.
- Drug Development: The compound can be employed in the formulation of targeted drug delivery systems, improving the efficacy of therapeutic agents in treating specific diseases.
- Diagnostics: It plays a role in the development of diagnostic tools for detecting certain diseases, leveraging its unique chemical properties to enhance assay sensitivity.
- Food Industry Applications: This chemical can be utilized in food science for studying carbohydrate metabolism, contributing to the development of healthier food products.
General Information
Properties
Safety and Regulations
Applications
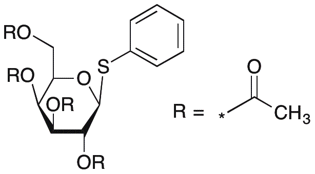
Phenyl 2,3,4,6-tetra-O-acetyl-1-thio-b-D-galactopyranoside is widely utilized in research focused on:
- Glycobiology Studies: This compound serves as a valuable tool for studying carbohydrate-protein interactions, aiding researchers in understanding cellular processes and disease mechanisms.
- Synthesis of Glycosides: It is used in the synthesis of various glycosides, which are important in pharmaceuticals and biochemistry, enhancing the development of new drugs.
- Drug Development: The compound can be employed in the formulation of targeted drug delivery systems, improving the efficacy of therapeutic agents in treating specific diseases.
- Diagnostics: It plays a role in the development of diagnostic tools for detecting certain diseases, leveraging its unique chemical properties to enhance assay sensitivity.
- Food Industry Applications: This chemical can be utilized in food science for studying carbohydrate metabolism, contributing to the development of healthier food products.
Documents
Safety Data Sheets (SDS)
The SDS provides comprehensive safety information on handling, storage, and disposal of the product.
Product Specification (PS)
The PS provides a comprehensive breakdown of the product’s properties, including chemical composition, physical state, purity, and storage requirements. It also details acceptable quality ranges and the product's intended applications.
Certificates of Analysis (COA)
Search for Certificates of Analysis (COA) by entering the products Lot Number. Lot and Batch Numbers can be found on a product’s label following the words ‘Lot’ or ‘Batch’.
*Catalog Number
*Lot Number
Certificates Of Origin (COO)
This COO confirms the country where the product was manufactured, and also details the materials and components used in it and whether it is derived from natural, synthetic, or other specific sources. This certificate may be required for customs, trade, and regulatory compliance.
*Catalog Number
*Lot Number
Safety Data Sheets (SDS)
The SDS provides comprehensive safety information on handling, storage, and disposal of the product.
DownloadProduct Specification (PS)
The PS provides a comprehensive breakdown of the product’s properties, including chemical composition, physical state, purity, and storage requirements. It also details acceptable quality ranges and the product's intended applications.
DownloadCertificates of Analysis (COA)
Search for Certificates of Analysis (COA) by entering the products Lot Number. Lot and Batch Numbers can be found on a product’s label following the words ‘Lot’ or ‘Batch’.
*Catalog Number
*Lot Number
Certificates Of Origin (COO)
This COO confirms the country where the product was manufactured, and also details the materials and components used in it and whether it is derived from natural, synthetic, or other specific sources. This certificate may be required for customs, trade, and regulatory compliance.
