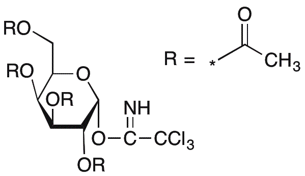
2,3,4,6-Tetra-O-acetyl-a-D-galactopyranosyl 2,2,2-trichloroacetimidate is widely utilized in research focused on:
- Synthetic Carbohydrate Chemistry: This compound serves as a key intermediate in the synthesis of complex carbohydrates, enabling researchers to create glycosylated compounds for various applications.
- Drug Development: It plays a crucial role in the development of glycosylated drugs, which can enhance the bioavailability and efficacy of therapeutic agents, particularly in the treatment of infectious diseases.
- Vaccine Formulation: The compound is used in the design of carbohydrate-based vaccines, which can stimulate a stronger immune response, providing better protection against pathogens.
- Biotechnology: In the field of biotechnology, it is employed to modify proteins and enzymes, improving their stability and functionality for industrial applications.
- Research in Glycobiology: This chemical is essential for studying the structure and function of glycoproteins and glycolipids, contributing to advancements in understanding cellular interactions and disease mechanisms.
General Information
Properties
Safety and Regulations
Applications
2,3,4,6-Tetra-O-acetyl-a-D-galactopyranosyl 2,2,2-trichloroacetimidate is widely utilized in research focused on:
- Synthetic Carbohydrate Chemistry: This compound serves as a key intermediate in the synthesis of complex carbohydrates, enabling researchers to create glycosylated compounds for various applications.
- Drug Development: It plays a crucial role in the development of glycosylated drugs, which can enhance the bioavailability and efficacy of therapeutic agents, particularly in the treatment of infectious diseases.
- Vaccine Formulation: The compound is used in the design of carbohydrate-based vaccines, which can stimulate a stronger immune response, providing better protection against pathogens.
- Biotechnology: In the field of biotechnology, it is employed to modify proteins and enzymes, improving their stability and functionality for industrial applications.
- Research in Glycobiology: This chemical is essential for studying the structure and function of glycoproteins and glycolipids, contributing to advancements in understanding cellular interactions and disease mechanisms.
Documents
Safety Data Sheets (SDS)
The SDS provides comprehensive safety information on handling, storage, and disposal of the product.
Product Specification (PS)
The PS provides a comprehensive breakdown of the product’s properties, including chemical composition, physical state, purity, and storage requirements. It also details acceptable quality ranges and the product's intended applications.
Certificates of Analysis (COA)
Search for Certificates of Analysis (COA) by entering the products Lot Number. Lot and Batch Numbers can be found on a product’s label following the words ‘Lot’ or ‘Batch’.
*Catalog Number
*Lot Number
Certificates Of Origin (COO)
This COO confirms the country where the product was manufactured, and also details the materials and components used in it and whether it is derived from natural, synthetic, or other specific sources. This certificate may be required for customs, trade, and regulatory compliance.
*Catalog Number
*Lot Number
Safety Data Sheets (SDS)
The SDS provides comprehensive safety information on handling, storage, and disposal of the product.
DownloadProduct Specification (PS)
The PS provides a comprehensive breakdown of the product’s properties, including chemical composition, physical state, purity, and storage requirements. It also details acceptable quality ranges and the product's intended applications.
DownloadCertificates of Analysis (COA)
Search for Certificates of Analysis (COA) by entering the products Lot Number. Lot and Batch Numbers can be found on a product’s label following the words ‘Lot’ or ‘Batch’.
*Catalog Number
*Lot Number
Certificates Of Origin (COO)
This COO confirms the country where the product was manufactured, and also details the materials and components used in it and whether it is derived from natural, synthetic, or other specific sources. This certificate may be required for customs, trade, and regulatory compliance.
