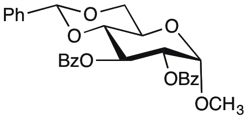
Methyl 2,3-Di-O-benzoyl-4,6-O-benzylidene-a-D-glucopyranoside is widely utilized in research focused on:
- Organic Synthesis: This compound serves as an important intermediate in the synthesis of complex carbohydrates and glycosides, facilitating the development of new chemical entities in pharmaceutical research.
- Drug Development: Its structural properties make it a valuable candidate for designing novel drug molecules, particularly in the field of antidiabetic agents, where carbohydrate mimetics are crucial.
- Biochemical Studies: Researchers use it to study enzyme interactions and carbohydrate recognition processes, contributing to a better understanding of biological mechanisms.
- Material Science: The compound can be used in the development of polymeric materials with specific functional properties, enhancing the performance of coatings and adhesives.
- Food Industry: It finds applications in flavor and fragrance formulations, where its unique chemical structure can help in the stabilization of aromatic compounds.
General Information
Properties
Safety and Regulations
Applications
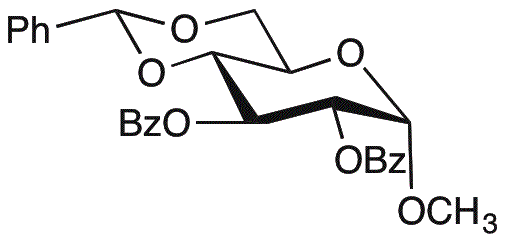
Methyl 2,3-Di-O-benzoyl-4,6-O-benzylidene-a-D-glucopyranoside is widely utilized in research focused on:
- Organic Synthesis: This compound serves as an important intermediate in the synthesis of complex carbohydrates and glycosides, facilitating the development of new chemical entities in pharmaceutical research.
- Drug Development: Its structural properties make it a valuable candidate for designing novel drug molecules, particularly in the field of antidiabetic agents, where carbohydrate mimetics are crucial.
- Biochemical Studies: Researchers use it to study enzyme interactions and carbohydrate recognition processes, contributing to a better understanding of biological mechanisms.
- Material Science: The compound can be used in the development of polymeric materials with specific functional properties, enhancing the performance of coatings and adhesives.
- Food Industry: It finds applications in flavor and fragrance formulations, where its unique chemical structure can help in the stabilization of aromatic compounds.
Documents
Safety Data Sheets (SDS)
The SDS provides comprehensive safety information on handling, storage, and disposal of the product.
Product Specification (PS)
The PS provides a comprehensive breakdown of the product’s properties, including chemical composition, physical state, purity, and storage requirements. It also details acceptable quality ranges and the product's intended applications.
Certificates of Analysis (COA)
Search for Certificates of Analysis (COA) by entering the products Lot Number. Lot and Batch Numbers can be found on a product’s label following the words ‘Lot’ or ‘Batch’.
*Catalog Number
*Lot Number
Certificates Of Origin (COO)
This COO confirms the country where the product was manufactured, and also details the materials and components used in it and whether it is derived from natural, synthetic, or other specific sources. This certificate may be required for customs, trade, and regulatory compliance.
*Catalog Number
*Lot Number
Safety Data Sheets (SDS)
The SDS provides comprehensive safety information on handling, storage, and disposal of the product.
DownloadProduct Specification (PS)
The PS provides a comprehensive breakdown of the product’s properties, including chemical composition, physical state, purity, and storage requirements. It also details acceptable quality ranges and the product's intended applications.
DownloadCertificates of Analysis (COA)
Search for Certificates of Analysis (COA) by entering the products Lot Number. Lot and Batch Numbers can be found on a product’s label following the words ‘Lot’ or ‘Batch’.
*Catalog Number
*Lot Number
Certificates Of Origin (COO)
This COO confirms the country where the product was manufactured, and also details the materials and components used in it and whether it is derived from natural, synthetic, or other specific sources. This certificate may be required for customs, trade, and regulatory compliance.
