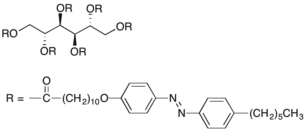
1,2,3,4,5,6-Hexa-O-[11-[4-(4-hexylphenylazo)phenoxy]undecanoyl]-D-mannitol is widely utilized in research focused on:
- Drug Delivery Systems: This compound can enhance the solubility and stability of pharmaceutical formulations, making it ideal for targeted drug delivery applications.
- Photodynamic Therapy: Its azo group allows for light-sensitive properties, enabling its use in cancer treatment where light activation can trigger therapeutic effects.
- Cosmetic Formulations: The compound's ability to improve skin absorption makes it valuable in the development of advanced skincare products, providing enhanced efficacy.
- Biomaterials: It serves as a building block for creating biocompatible materials used in tissue engineering, promoting cell adhesion and growth.
- Research in Nanotechnology: This chemical can be utilized in the synthesis of nanoparticles, which are crucial in various applications including drug delivery and imaging.
General Information
Properties
Safety and Regulations
Applications
1,2,3,4,5,6-Hexa-O-[11-[4-(4-hexylphenylazo)phenoxy]undecanoyl]-D-mannitol is widely utilized in research focused on:
- Drug Delivery Systems: This compound can enhance the solubility and stability of pharmaceutical formulations, making it ideal for targeted drug delivery applications.
- Photodynamic Therapy: Its azo group allows for light-sensitive properties, enabling its use in cancer treatment where light activation can trigger therapeutic effects.
- Cosmetic Formulations: The compound's ability to improve skin absorption makes it valuable in the development of advanced skincare products, providing enhanced efficacy.
- Biomaterials: It serves as a building block for creating biocompatible materials used in tissue engineering, promoting cell adhesion and growth.
- Research in Nanotechnology: This chemical can be utilized in the synthesis of nanoparticles, which are crucial in various applications including drug delivery and imaging.
Documents
Safety Data Sheets (SDS)
The SDS provides comprehensive safety information on handling, storage, and disposal of the product.
Product Specification (PS)
The PS provides a comprehensive breakdown of the product’s properties, including chemical composition, physical state, purity, and storage requirements. It also details acceptable quality ranges and the product's intended applications.
Certificates of Analysis (COA)
Search for Certificates of Analysis (COA) by entering the products Lot Number. Lot and Batch Numbers can be found on a product’s label following the words ‘Lot’ or ‘Batch’.
*Catalog Number
*Lot Number
Certificates Of Origin (COO)
This COO confirms the country where the product was manufactured, and also details the materials and components used in it and whether it is derived from natural, synthetic, or other specific sources. This certificate may be required for customs, trade, and regulatory compliance.
*Catalog Number
*Lot Number
Safety Data Sheets (SDS)
The SDS provides comprehensive safety information on handling, storage, and disposal of the product.
DownloadProduct Specification (PS)
The PS provides a comprehensive breakdown of the product’s properties, including chemical composition, physical state, purity, and storage requirements. It also details acceptable quality ranges and the product's intended applications.
DownloadCertificates of Analysis (COA)
Search for Certificates of Analysis (COA) by entering the products Lot Number. Lot and Batch Numbers can be found on a product’s label following the words ‘Lot’ or ‘Batch’.
*Catalog Number
*Lot Number
Certificates Of Origin (COO)
This COO confirms the country where the product was manufactured, and also details the materials and components used in it and whether it is derived from natural, synthetic, or other specific sources. This certificate may be required for customs, trade, and regulatory compliance.
![1,2,3,4,5,6-Hexa-O-[11-[4-(4-hexylphenylazo)phenoxy]undecanoyl]-D-mannitol](http://www.chemimpex.com/cdn/shop/files/32329_image.gif?v=1725028178&width=1214)