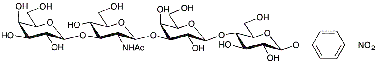
Galb(1-3)GlcNAcb(1-3)Galb(1-4)Glc-b-pNP is widely utilized in research focused on:
- Glycobiology Research: This compound serves as a valuable substrate for studying glycosylation processes, helping researchers understand carbohydrate structures and their biological significance.
- Enzyme Activity Assays: It is frequently used in assays to measure the activity of glycosidases, providing insights into enzyme kinetics and potential inhibitors, which is crucial for drug development.
- Biomedical Applications: The compound aids in the development of glycan-based therapeutics, particularly in designing targeted drug delivery systems that enhance treatment efficacy.
- Diagnostics: It can be employed in diagnostic assays to detect specific glycan patterns associated with diseases, improving early detection and personalized medicine approaches.
- Food Industry: The compound's properties are leveraged in food science for studying carbohydrate interactions, which can lead to improved flavor and texture in food products.
General Information
Properties
Safety and Regulations
Applications
Galb(1-3)GlcNAcb(1-3)Galb(1-4)Glc-b-pNP is widely utilized in research focused on:
- Glycobiology Research: This compound serves as a valuable substrate for studying glycosylation processes, helping researchers understand carbohydrate structures and their biological significance.
- Enzyme Activity Assays: It is frequently used in assays to measure the activity of glycosidases, providing insights into enzyme kinetics and potential inhibitors, which is crucial for drug development.
- Biomedical Applications: The compound aids in the development of glycan-based therapeutics, particularly in designing targeted drug delivery systems that enhance treatment efficacy.
- Diagnostics: It can be employed in diagnostic assays to detect specific glycan patterns associated with diseases, improving early detection and personalized medicine approaches.
- Food Industry: The compound's properties are leveraged in food science for studying carbohydrate interactions, which can lead to improved flavor and texture in food products.
Documents
Safety Data Sheets (SDS)
The SDS provides comprehensive safety information on handling, storage, and disposal of the product.
Product Specification (PS)
The PS provides a comprehensive breakdown of the product’s properties, including chemical composition, physical state, purity, and storage requirements. It also details acceptable quality ranges and the product's intended applications.
Certificates of Analysis (COA)
Search for Certificates of Analysis (COA) by entering the products Lot Number. Lot and Batch Numbers can be found on a product’s label following the words ‘Lot’ or ‘Batch’.
*Catalog Number
*Lot Number
Certificates Of Origin (COO)
This COO confirms the country where the product was manufactured, and also details the materials and components used in it and whether it is derived from natural, synthetic, or other specific sources. This certificate may be required for customs, trade, and regulatory compliance.
*Catalog Number
*Lot Number
Safety Data Sheets (SDS)
The SDS provides comprehensive safety information on handling, storage, and disposal of the product.
DownloadProduct Specification (PS)
The PS provides a comprehensive breakdown of the product’s properties, including chemical composition, physical state, purity, and storage requirements. It also details acceptable quality ranges and the product's intended applications.
DownloadCertificates of Analysis (COA)
Search for Certificates of Analysis (COA) by entering the products Lot Number. Lot and Batch Numbers can be found on a product’s label following the words ‘Lot’ or ‘Batch’.
*Catalog Number
*Lot Number
Certificates Of Origin (COO)
This COO confirms the country where the product was manufactured, and also details the materials and components used in it and whether it is derived from natural, synthetic, or other specific sources. This certificate may be required for customs, trade, and regulatory compliance.
