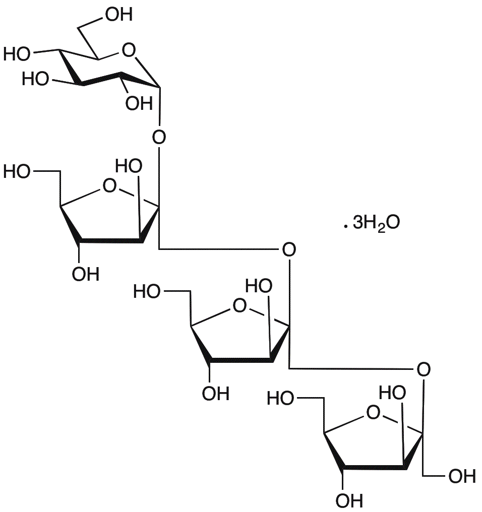
Nistose trihydrate is widely utilized in research focused on:
- Food Industry: It serves as a natural sweetener and bulking agent in various food products, providing a low-calorie alternative to sugar while enhancing texture and flavor.
- Pharmaceuticals: Used as an excipient in drug formulations, it helps improve the solubility and bioavailability of active ingredients, making medications more effective.
- Cosmetics: Its moisturizing properties make it a popular ingredient in skincare products, helping to hydrate and improve skin texture without clogging pores.
- Biotechnology: Nistose trihydrate is utilized in cell culture media, supporting the growth of various cell types and enhancing the yield of biopharmaceutical production.
- Research Applications: It is employed in studies related to carbohydrate metabolism and gut health, providing insights into prebiotic effects and microbial interactions in the digestive system.
General Information
Properties
Safety and Regulations
Applications
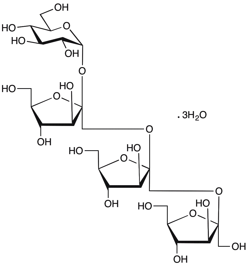
Nistose trihydrate is widely utilized in research focused on:
- Food Industry: It serves as a natural sweetener and bulking agent in various food products, providing a low-calorie alternative to sugar while enhancing texture and flavor.
- Pharmaceuticals: Used as an excipient in drug formulations, it helps improve the solubility and bioavailability of active ingredients, making medications more effective.
- Cosmetics: Its moisturizing properties make it a popular ingredient in skincare products, helping to hydrate and improve skin texture without clogging pores.
- Biotechnology: Nistose trihydrate is utilized in cell culture media, supporting the growth of various cell types and enhancing the yield of biopharmaceutical production.
- Research Applications: It is employed in studies related to carbohydrate metabolism and gut health, providing insights into prebiotic effects and microbial interactions in the digestive system.
Documents
Safety Data Sheets (SDS)
The SDS provides comprehensive safety information on handling, storage, and disposal of the product.
Product Specification (PS)
The PS provides a comprehensive breakdown of the product’s properties, including chemical composition, physical state, purity, and storage requirements. It also details acceptable quality ranges and the product's intended applications.
Certificates of Analysis (COA)
Search for Certificates of Analysis (COA) by entering the products Lot Number. Lot and Batch Numbers can be found on a product’s label following the words ‘Lot’ or ‘Batch’.
*Catalog Number
*Lot Number
Certificates Of Origin (COO)
This COO confirms the country where the product was manufactured, and also details the materials and components used in it and whether it is derived from natural, synthetic, or other specific sources. This certificate may be required for customs, trade, and regulatory compliance.
*Catalog Number
*Lot Number
Safety Data Sheets (SDS)
The SDS provides comprehensive safety information on handling, storage, and disposal of the product.
DownloadProduct Specification (PS)
The PS provides a comprehensive breakdown of the product’s properties, including chemical composition, physical state, purity, and storage requirements. It also details acceptable quality ranges and the product's intended applications.
DownloadCertificates of Analysis (COA)
Search for Certificates of Analysis (COA) by entering the products Lot Number. Lot and Batch Numbers can be found on a product’s label following the words ‘Lot’ or ‘Batch’.
*Catalog Number
*Lot Number
Certificates Of Origin (COO)
This COO confirms the country where the product was manufactured, and also details the materials and components used in it and whether it is derived from natural, synthetic, or other specific sources. This certificate may be required for customs, trade, and regulatory compliance.
