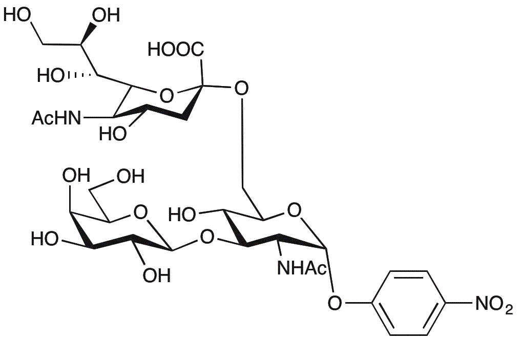
Galb(1-3)[Neu5Aca(2-6)]GalNAc-a-Pnp is widely utilized in research focused on:
- Glycobiology Studies: This compound serves as a valuable tool for studying glycan structures and their interactions, aiding researchers in understanding complex biological processes involving carbohydrates.
- Vaccine Development: It plays a crucial role in the development of glycoconjugate vaccines, enhancing immune responses by mimicking pathogen structures, which can lead to more effective vaccines.
- Drug Delivery Systems: The compound can be incorporated into drug delivery systems to improve targeting and efficacy, particularly in cancer therapies, where precision is vital.
- Diagnostic Applications: It is used in the development of diagnostic assays for diseases that involve glycan recognition, providing a means for early detection and monitoring of conditions.
- Biotechnology Innovations: This chemical is instrumental in the design of biosensors and other biotechnological applications, facilitating advancements in health monitoring and environmental sensing.
General Information
Properties
Safety and Regulations
Applications
Galb(1-3)[Neu5Aca(2-6)]GalNAc-a-Pnp is widely utilized in research focused on:
- Glycobiology Studies: This compound serves as a valuable tool for studying glycan structures and their interactions, aiding researchers in understanding complex biological processes involving carbohydrates.
- Vaccine Development: It plays a crucial role in the development of glycoconjugate vaccines, enhancing immune responses by mimicking pathogen structures, which can lead to more effective vaccines.
- Drug Delivery Systems: The compound can be incorporated into drug delivery systems to improve targeting and efficacy, particularly in cancer therapies, where precision is vital.
- Diagnostic Applications: It is used in the development of diagnostic assays for diseases that involve glycan recognition, providing a means for early detection and monitoring of conditions.
- Biotechnology Innovations: This chemical is instrumental in the design of biosensors and other biotechnological applications, facilitating advancements in health monitoring and environmental sensing.
Documents
Safety Data Sheets (SDS)
The SDS provides comprehensive safety information on handling, storage, and disposal of the product.
Product Specification (PS)
The PS provides a comprehensive breakdown of the product’s properties, including chemical composition, physical state, purity, and storage requirements. It also details acceptable quality ranges and the product's intended applications.
Certificates of Analysis (COA)
Search for Certificates of Analysis (COA) by entering the products Lot Number. Lot and Batch Numbers can be found on a product’s label following the words ‘Lot’ or ‘Batch’.
*Catalog Number
*Lot Number
Certificates Of Origin (COO)
This COO confirms the country where the product was manufactured, and also details the materials and components used in it and whether it is derived from natural, synthetic, or other specific sources. This certificate may be required for customs, trade, and regulatory compliance.
*Catalog Number
*Lot Number
Safety Data Sheets (SDS)
The SDS provides comprehensive safety information on handling, storage, and disposal of the product.
DownloadProduct Specification (PS)
The PS provides a comprehensive breakdown of the product’s properties, including chemical composition, physical state, purity, and storage requirements. It also details acceptable quality ranges and the product's intended applications.
DownloadCertificates of Analysis (COA)
Search for Certificates of Analysis (COA) by entering the products Lot Number. Lot and Batch Numbers can be found on a product’s label following the words ‘Lot’ or ‘Batch’.
*Catalog Number
*Lot Number
Certificates Of Origin (COO)
This COO confirms the country where the product was manufactured, and also details the materials and components used in it and whether it is derived from natural, synthetic, or other specific sources. This certificate may be required for customs, trade, and regulatory compliance.
![Galβ1-3)[Neu5Acα2-6)]GalNAc-α-Pnp](http://www.chemimpex.com/cdn/shop/files/32407_image.gif?v=1725028189&width=1214)