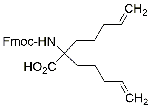
N-Fmoc-2-Amino-2-(4-pentenyl)-6-heptenoic acid is widely utilized in research focused on:
- Peptide Synthesis: This compound serves as a protective group in peptide synthesis, allowing researchers to selectively modify amino acids without affecting other functional groups. Its stability under various conditions makes it a preferred choice in the production of complex peptides.
- Drug Development: The unique structure of this compound can be leveraged in the design of novel pharmaceuticals, particularly in the development of targeted therapies. Its ability to form stable interactions with biological targets enhances its potential in medicinal chemistry.
- Bioconjugation: It is used in bioconjugation processes, where it can attach to biomolecules like proteins or antibodies. This application is crucial in creating targeted drug delivery systems, improving the efficacy of therapeutic agents.
- Material Science: The compound can be incorporated into polymer systems, contributing to the development of advanced materials with specific properties, such as increased flexibility or enhanced chemical resistance, suitable for various industrial applications.
- Research in Organic Chemistry: As a versatile building block, it aids in the synthesis of other complex organic molecules, facilitating research in organic synthesis and helping chemists explore new chemical pathways and reactions.
General Information
Properties
Safety and Regulations
Applications
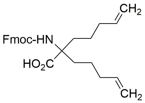
N-Fmoc-2-Amino-2-(4-pentenyl)-6-heptenoic acid is widely utilized in research focused on:
- Peptide Synthesis: This compound serves as a protective group in peptide synthesis, allowing researchers to selectively modify amino acids without affecting other functional groups. Its stability under various conditions makes it a preferred choice in the production of complex peptides.
- Drug Development: The unique structure of this compound can be leveraged in the design of novel pharmaceuticals, particularly in the development of targeted therapies. Its ability to form stable interactions with biological targets enhances its potential in medicinal chemistry.
- Bioconjugation: It is used in bioconjugation processes, where it can attach to biomolecules like proteins or antibodies. This application is crucial in creating targeted drug delivery systems, improving the efficacy of therapeutic agents.
- Material Science: The compound can be incorporated into polymer systems, contributing to the development of advanced materials with specific properties, such as increased flexibility or enhanced chemical resistance, suitable for various industrial applications.
- Research in Organic Chemistry: As a versatile building block, it aids in the synthesis of other complex organic molecules, facilitating research in organic synthesis and helping chemists explore new chemical pathways and reactions.
Documents
Safety Data Sheets (SDS)
The SDS provides comprehensive safety information on handling, storage, and disposal of the product.
Product Specification (PS)
The PS provides a comprehensive breakdown of the product’s properties, including chemical composition, physical state, purity, and storage requirements. It also details acceptable quality ranges and the product's intended applications.
Certificates of Analysis (COA)
Search for Certificates of Analysis (COA) by entering the products Lot Number. Lot and Batch Numbers can be found on a product’s label following the words ‘Lot’ or ‘Batch’.
*Catalog Number
*Lot Number
Certificates Of Origin (COO)
This COO confirms the country where the product was manufactured, and also details the materials and components used in it and whether it is derived from natural, synthetic, or other specific sources. This certificate may be required for customs, trade, and regulatory compliance.
*Catalog Number
*Lot Number
Safety Data Sheets (SDS)
The SDS provides comprehensive safety information on handling, storage, and disposal of the product.
DownloadProduct Specification (PS)
The PS provides a comprehensive breakdown of the product’s properties, including chemical composition, physical state, purity, and storage requirements. It also details acceptable quality ranges and the product's intended applications.
DownloadCertificates of Analysis (COA)
Search for Certificates of Analysis (COA) by entering the products Lot Number. Lot and Batch Numbers can be found on a product’s label following the words ‘Lot’ or ‘Batch’.
*Catalog Number
*Lot Number
Certificates Of Origin (COO)
This COO confirms the country where the product was manufactured, and also details the materials and components used in it and whether it is derived from natural, synthetic, or other specific sources. This certificate may be required for customs, trade, and regulatory compliance.
