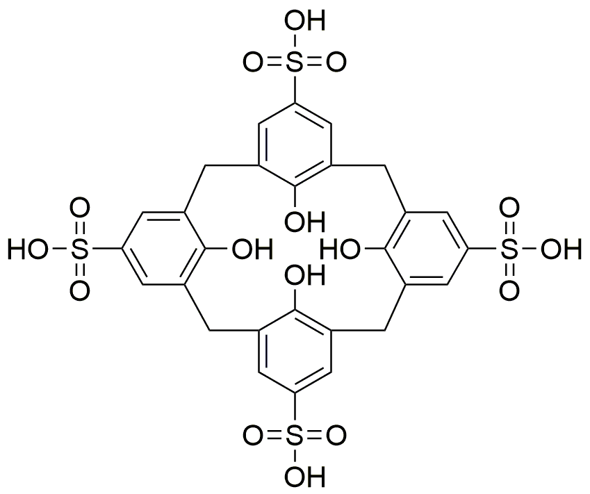
4-Sulfocalix[4]arene is widely utilized in research focused on:
- Environmental Remediation: This compound is effective in removing heavy metals and organic pollutants from water, making it valuable in water treatment processes.
- Drug Delivery Systems: Its unique structure allows for the encapsulation of pharmaceutical agents, enhancing their solubility and bioavailability, which is beneficial in developing targeted therapies.
- Sensor Technology: 4-Sulfocalix[4]arene can be used in the fabrication of sensors for detecting ions and small molecules, providing a reliable method for monitoring environmental and biological samples.
- Nanotechnology: This chemical serves as a building block for creating nanocarriers, which can improve the delivery of drugs and genes, thus advancing research in nanomedicine.
- Supramolecular Chemistry: It plays a crucial role in the development of supramolecular assemblies, which can lead to innovative materials with tailored properties for various applications, including catalysis and materials science.
General Information
Properties
Safety and Regulations
Applications
4-Sulfocalix[4]arene is widely utilized in research focused on:
- Environmental Remediation: This compound is effective in removing heavy metals and organic pollutants from water, making it valuable in water treatment processes.
- Drug Delivery Systems: Its unique structure allows for the encapsulation of pharmaceutical agents, enhancing their solubility and bioavailability, which is beneficial in developing targeted therapies.
- Sensor Technology: 4-Sulfocalix[4]arene can be used in the fabrication of sensors for detecting ions and small molecules, providing a reliable method for monitoring environmental and biological samples.
- Nanotechnology: This chemical serves as a building block for creating nanocarriers, which can improve the delivery of drugs and genes, thus advancing research in nanomedicine.
- Supramolecular Chemistry: It plays a crucial role in the development of supramolecular assemblies, which can lead to innovative materials with tailored properties for various applications, including catalysis and materials science.
Documents
Safety Data Sheets (SDS)
The SDS provides comprehensive safety information on handling, storage, and disposal of the product.
Product Specification (PS)
The PS provides a comprehensive breakdown of the product’s properties, including chemical composition, physical state, purity, and storage requirements. It also details acceptable quality ranges and the product's intended applications.
Certificates of Analysis (COA)
Search for Certificates of Analysis (COA) by entering the products Lot Number. Lot and Batch Numbers can be found on a product’s label following the words ‘Lot’ or ‘Batch’.
*Catalog Number
*Lot Number
Certificates Of Origin (COO)
This COO confirms the country where the product was manufactured, and also details the materials and components used in it and whether it is derived from natural, synthetic, or other specific sources. This certificate may be required for customs, trade, and regulatory compliance.
*Catalog Number
*Lot Number
Safety Data Sheets (SDS)
The SDS provides comprehensive safety information on handling, storage, and disposal of the product.
DownloadProduct Specification (PS)
The PS provides a comprehensive breakdown of the product’s properties, including chemical composition, physical state, purity, and storage requirements. It also details acceptable quality ranges and the product's intended applications.
DownloadCertificates of Analysis (COA)
Search for Certificates of Analysis (COA) by entering the products Lot Number. Lot and Batch Numbers can be found on a product’s label following the words ‘Lot’ or ‘Batch’.
*Catalog Number
*Lot Number
Certificates Of Origin (COO)
This COO confirms the country where the product was manufactured, and also details the materials and components used in it and whether it is derived from natural, synthetic, or other specific sources. This certificate may be required for customs, trade, and regulatory compliance.
![4-Sulfocalix[4]arene](http://www.chemimpex.com/cdn/shop/files/36210_image.gif?v=1725028535&width=1214)