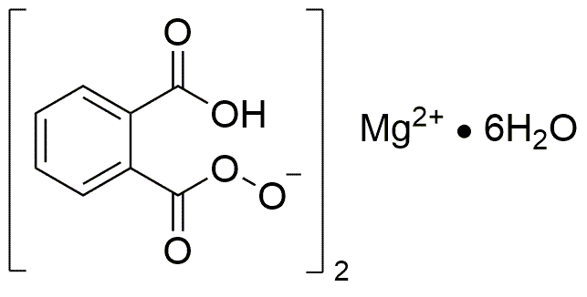
Magnesium monoperoxyphthalate hexahydrate is widely utilized in research focused on:
- Oxidizing Agent in Organic Synthesis: This compound serves as a mild oxidizing agent, making it valuable in organic chemistry for synthesizing various compounds, including alcohols and ketones, without harsh conditions.
- Environmental Applications: It is used in wastewater treatment processes to degrade organic pollutants, providing an eco-friendly solution for industries looking to minimize their environmental impact.
- Textile Industry: The compound acts as a bleaching agent, helping to whiten fabrics without damaging fibers, which is essential for maintaining quality in textile production.
- Disinfectants and Sanitizers: Its strong oxidizing properties make it effective in formulating disinfectants, particularly in healthcare settings, ensuring surfaces are free from harmful microorganisms.
- Research in Biochemistry: It is employed in biochemical assays to study oxidative stress and its effects on biological systems, providing insights into various health-related research areas.
General Information
Properties
Safety and Regulations
Applications
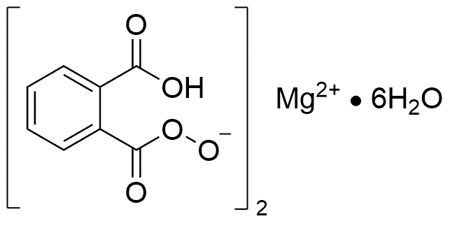
Magnesium monoperoxyphthalate hexahydrate is widely utilized in research focused on:
- Oxidizing Agent in Organic Synthesis: This compound serves as a mild oxidizing agent, making it valuable in organic chemistry for synthesizing various compounds, including alcohols and ketones, without harsh conditions.
- Environmental Applications: It is used in wastewater treatment processes to degrade organic pollutants, providing an eco-friendly solution for industries looking to minimize their environmental impact.
- Textile Industry: The compound acts as a bleaching agent, helping to whiten fabrics without damaging fibers, which is essential for maintaining quality in textile production.
- Disinfectants and Sanitizers: Its strong oxidizing properties make it effective in formulating disinfectants, particularly in healthcare settings, ensuring surfaces are free from harmful microorganisms.
- Research in Biochemistry: It is employed in biochemical assays to study oxidative stress and its effects on biological systems, providing insights into various health-related research areas.
Documents
Safety Data Sheets (SDS)
The SDS provides comprehensive safety information on handling, storage, and disposal of the product.
Product Specification (PS)
The PS provides a comprehensive breakdown of the product’s properties, including chemical composition, physical state, purity, and storage requirements. It also details acceptable quality ranges and the product's intended applications.
Certificates of Analysis (COA)
Search for Certificates of Analysis (COA) by entering the products Lot Number. Lot and Batch Numbers can be found on a product’s label following the words ‘Lot’ or ‘Batch’.
*Catalog Number
*Lot Number
Certificates Of Origin (COO)
This COO confirms the country where the product was manufactured, and also details the materials and components used in it and whether it is derived from natural, synthetic, or other specific sources. This certificate may be required for customs, trade, and regulatory compliance.
*Catalog Number
*Lot Number
Safety Data Sheets (SDS)
The SDS provides comprehensive safety information on handling, storage, and disposal of the product.
DownloadProduct Specification (PS)
The PS provides a comprehensive breakdown of the product’s properties, including chemical composition, physical state, purity, and storage requirements. It also details acceptable quality ranges and the product's intended applications.
DownloadCertificates of Analysis (COA)
Search for Certificates of Analysis (COA) by entering the products Lot Number. Lot and Batch Numbers can be found on a product’s label following the words ‘Lot’ or ‘Batch’.
*Catalog Number
*Lot Number
Certificates Of Origin (COO)
This COO confirms the country where the product was manufactured, and also details the materials and components used in it and whether it is derived from natural, synthetic, or other specific sources. This certificate may be required for customs, trade, and regulatory compliance.
