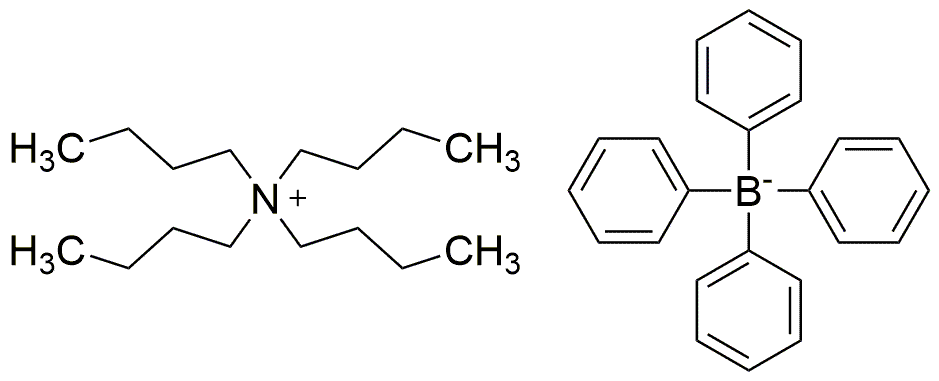
Tetrabutylammonium tetraphenylborate is widely utilized in research focused on:
- Electrochemistry: This compound serves as a supporting electrolyte in various electrochemical experiments, enhancing conductivity and stability in solutions, which is crucial for accurate measurements.
- Ion Pairing Reactions: It is effective in facilitating ion pairing in organic synthesis, particularly in reactions involving anions and cations, improving yields and selectivity.
- Phase Transfer Catalysis: This chemical acts as a phase transfer catalyst, enabling reactions between reactants in different phases, which is particularly useful in organic synthesis and industrial applications.
- Analytical Chemistry: It is used in chromatographic techniques for the separation and analysis of various compounds, providing improved resolution and sensitivity in detection methods.
- Material Science: Tetrabutylammonium tetraphenylborate is employed in the development of advanced materials, such as ionic liquids and polymer composites, offering enhanced properties like thermal stability and conductivity.
General Information
Properties
Safety and Regulations
Applications
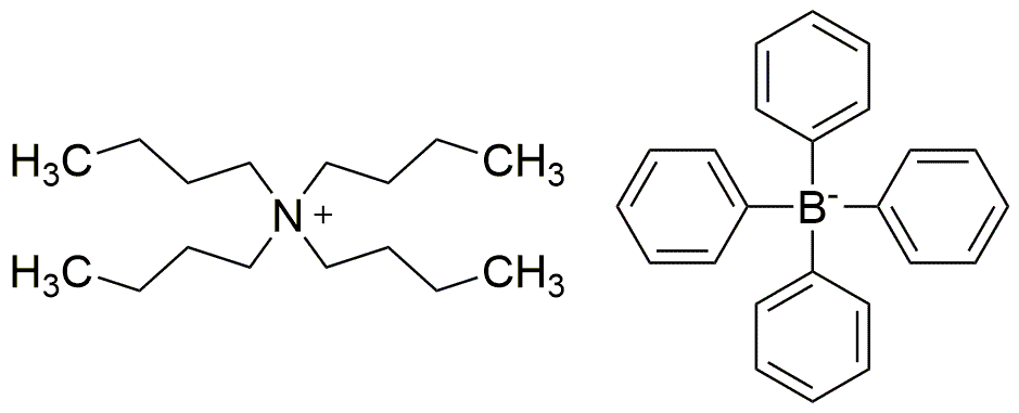
Tetrabutylammonium tetraphenylborate is widely utilized in research focused on:
- Electrochemistry: This compound serves as a supporting electrolyte in various electrochemical experiments, enhancing conductivity and stability in solutions, which is crucial for accurate measurements.
- Ion Pairing Reactions: It is effective in facilitating ion pairing in organic synthesis, particularly in reactions involving anions and cations, improving yields and selectivity.
- Phase Transfer Catalysis: This chemical acts as a phase transfer catalyst, enabling reactions between reactants in different phases, which is particularly useful in organic synthesis and industrial applications.
- Analytical Chemistry: It is used in chromatographic techniques for the separation and analysis of various compounds, providing improved resolution and sensitivity in detection methods.
- Material Science: Tetrabutylammonium tetraphenylborate is employed in the development of advanced materials, such as ionic liquids and polymer composites, offering enhanced properties like thermal stability and conductivity.
Documents
Safety Data Sheets (SDS)
The SDS provides comprehensive safety information on handling, storage, and disposal of the product.
Product Specification (PS)
The PS provides a comprehensive breakdown of the product’s properties, including chemical composition, physical state, purity, and storage requirements. It also details acceptable quality ranges and the product's intended applications.
Certificates of Analysis (COA)
Search for Certificates of Analysis (COA) by entering the products Lot Number. Lot and Batch Numbers can be found on a product’s label following the words ‘Lot’ or ‘Batch’.
*Catalog Number
*Lot Number
Certificates Of Origin (COO)
This COO confirms the country where the product was manufactured, and also details the materials and components used in it and whether it is derived from natural, synthetic, or other specific sources. This certificate may be required for customs, trade, and regulatory compliance.
*Catalog Number
*Lot Number
Safety Data Sheets (SDS)
The SDS provides comprehensive safety information on handling, storage, and disposal of the product.
DownloadProduct Specification (PS)
The PS provides a comprehensive breakdown of the product’s properties, including chemical composition, physical state, purity, and storage requirements. It also details acceptable quality ranges and the product's intended applications.
DownloadCertificates of Analysis (COA)
Search for Certificates of Analysis (COA) by entering the products Lot Number. Lot and Batch Numbers can be found on a product’s label following the words ‘Lot’ or ‘Batch’.
*Catalog Number
*Lot Number
Certificates Of Origin (COO)
This COO confirms the country where the product was manufactured, and also details the materials and components used in it and whether it is derived from natural, synthetic, or other specific sources. This certificate may be required for customs, trade, and regulatory compliance.
