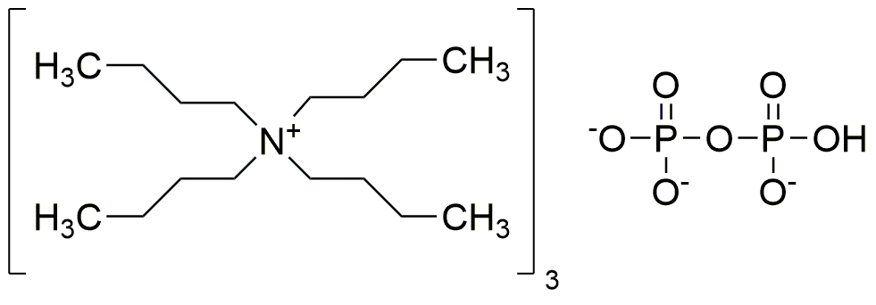
Pyrophosphoric acid tris(tetrabutylammonium) salt is widely utilized in research focused on:
- Biochemical Research: This compound serves as a phosphate donor in various enzymatic reactions, aiding researchers in studying metabolic pathways and enzyme kinetics.
- Analytical Chemistry: It is used in chromatography as a buffer component, enhancing the separation of biomolecules and improving the accuracy of analytical results.
- Material Science: The salt is employed in the synthesis of phosphorous-based polymers, which are valuable in creating durable materials with specific properties for industrial applications.
- Pharmaceutical Development: Its role as a stabilizing agent in drug formulations helps maintain the efficacy of active pharmaceutical ingredients, ensuring consistent therapeutic outcomes.
- Agricultural Chemistry: The compound is utilized in the formulation of fertilizers, providing a controlled release of phosphorus, which is essential for plant growth and development.
General Information
Properties
Safety and Regulations
Applications
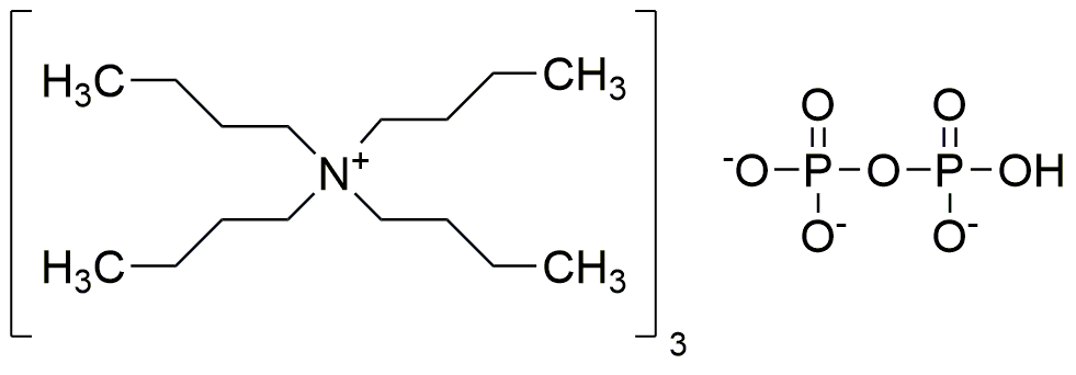
Pyrophosphoric acid tris(tetrabutylammonium) salt is widely utilized in research focused on:
- Biochemical Research: This compound serves as a phosphate donor in various enzymatic reactions, aiding researchers in studying metabolic pathways and enzyme kinetics.
- Analytical Chemistry: It is used in chromatography as a buffer component, enhancing the separation of biomolecules and improving the accuracy of analytical results.
- Material Science: The salt is employed in the synthesis of phosphorous-based polymers, which are valuable in creating durable materials with specific properties for industrial applications.
- Pharmaceutical Development: Its role as a stabilizing agent in drug formulations helps maintain the efficacy of active pharmaceutical ingredients, ensuring consistent therapeutic outcomes.
- Agricultural Chemistry: The compound is utilized in the formulation of fertilizers, providing a controlled release of phosphorus, which is essential for plant growth and development.
Documents
Safety Data Sheets (SDS)
The SDS provides comprehensive safety information on handling, storage, and disposal of the product.
Product Specification (PS)
The PS provides a comprehensive breakdown of the product’s properties, including chemical composition, physical state, purity, and storage requirements. It also details acceptable quality ranges and the product's intended applications.
Certificates of Analysis (COA)
Search for Certificates of Analysis (COA) by entering the products Lot Number. Lot and Batch Numbers can be found on a product’s label following the words ‘Lot’ or ‘Batch’.
*Catalog Number
*Lot Number
Certificates Of Origin (COO)
This COO confirms the country where the product was manufactured, and also details the materials and components used in it and whether it is derived from natural, synthetic, or other specific sources. This certificate may be required for customs, trade, and regulatory compliance.
*Catalog Number
*Lot Number
Safety Data Sheets (SDS)
The SDS provides comprehensive safety information on handling, storage, and disposal of the product.
DownloadProduct Specification (PS)
The PS provides a comprehensive breakdown of the product’s properties, including chemical composition, physical state, purity, and storage requirements. It also details acceptable quality ranges and the product's intended applications.
DownloadCertificates of Analysis (COA)
Search for Certificates of Analysis (COA) by entering the products Lot Number. Lot and Batch Numbers can be found on a product’s label following the words ‘Lot’ or ‘Batch’.
*Catalog Number
*Lot Number
Certificates Of Origin (COO)
This COO confirms the country where the product was manufactured, and also details the materials and components used in it and whether it is derived from natural, synthetic, or other specific sources. This certificate may be required for customs, trade, and regulatory compliance.
