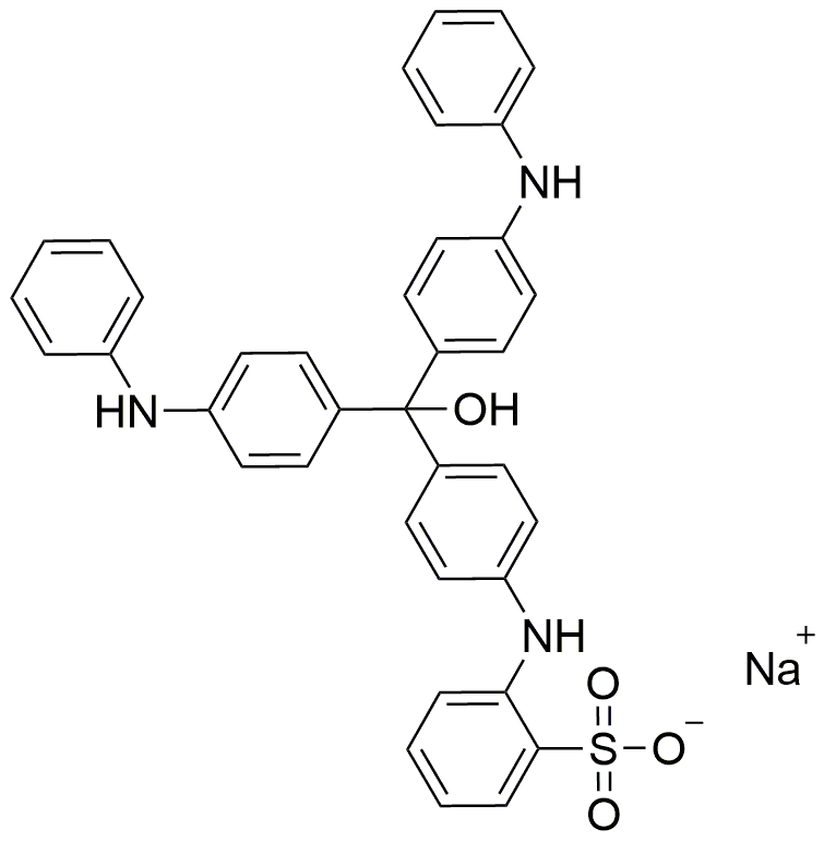
Sodium 2-((4-(hydroxybis(4-(phenylamino)phenyl)methyl)phenyl)amino)benzenesulfonate is widely utilized in research focused on:
- Pharmaceutical Development: This compound serves as a key intermediate in synthesizing various pharmaceutical agents, particularly in the development of anti-cancer drugs, enhancing their efficacy and bioavailability.
- Biochemical Assays: It is employed in biochemical assays as a reagent to study enzyme activities and interactions, providing researchers with valuable insights into cellular processes.
- Textile Industry: The compound acts as a dyeing agent, improving the colorfastness of fabrics, which is crucial for manufacturers aiming to produce high-quality textiles.
- Cosmetic Formulations: It is used in cosmetic products for its stabilizing properties, helping to maintain the integrity and effectiveness of active ingredients in skincare formulations.
- Analytical Chemistry: This chemical is utilized in analytical methods to detect and quantify various compounds, aiding researchers in quality control and assurance processes.
General Information
Properties
Safety and Regulations
Applications
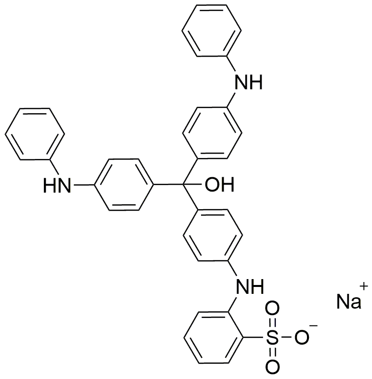
Sodium 2-((4-(hydroxybis(4-(phenylamino)phenyl)methyl)phenyl)amino)benzenesulfonate is widely utilized in research focused on:
- Pharmaceutical Development: This compound serves as a key intermediate in synthesizing various pharmaceutical agents, particularly in the development of anti-cancer drugs, enhancing their efficacy and bioavailability.
- Biochemical Assays: It is employed in biochemical assays as a reagent to study enzyme activities and interactions, providing researchers with valuable insights into cellular processes.
- Textile Industry: The compound acts as a dyeing agent, improving the colorfastness of fabrics, which is crucial for manufacturers aiming to produce high-quality textiles.
- Cosmetic Formulations: It is used in cosmetic products for its stabilizing properties, helping to maintain the integrity and effectiveness of active ingredients in skincare formulations.
- Analytical Chemistry: This chemical is utilized in analytical methods to detect and quantify various compounds, aiding researchers in quality control and assurance processes.
Documents
Safety Data Sheets (SDS)
The SDS provides comprehensive safety information on handling, storage, and disposal of the product.
Product Specification (PS)
The PS provides a comprehensive breakdown of the product’s properties, including chemical composition, physical state, purity, and storage requirements. It also details acceptable quality ranges and the product's intended applications.
Certificates of Analysis (COA)
Search for Certificates of Analysis (COA) by entering the products Lot Number. Lot and Batch Numbers can be found on a product’s label following the words ‘Lot’ or ‘Batch’.
*Catalog Number
*Lot Number
Certificates Of Origin (COO)
This COO confirms the country where the product was manufactured, and also details the materials and components used in it and whether it is derived from natural, synthetic, or other specific sources. This certificate may be required for customs, trade, and regulatory compliance.
*Catalog Number
*Lot Number
Safety Data Sheets (SDS)
The SDS provides comprehensive safety information on handling, storage, and disposal of the product.
DownloadProduct Specification (PS)
The PS provides a comprehensive breakdown of the product’s properties, including chemical composition, physical state, purity, and storage requirements. It also details acceptable quality ranges and the product's intended applications.
DownloadCertificates of Analysis (COA)
Search for Certificates of Analysis (COA) by entering the products Lot Number. Lot and Batch Numbers can be found on a product’s label following the words ‘Lot’ or ‘Batch’.
*Catalog Number
*Lot Number
Certificates Of Origin (COO)
This COO confirms the country where the product was manufactured, and also details the materials and components used in it and whether it is derived from natural, synthetic, or other specific sources. This certificate may be required for customs, trade, and regulatory compliance.
