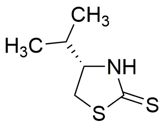
(S)-4-Isopropylthiazolidine-2-thione is widely utilized in research focused on:
- Pharmaceutical Development: This compound serves as a key intermediate in the synthesis of various pharmaceuticals, particularly those targeting metabolic disorders.
- Agricultural Chemistry: It is used in the formulation of agrochemicals, enhancing crop protection by acting as a biopesticide, which is more environmentally friendly compared to traditional pesticides.
- Food Industry: The compound acts as a flavoring agent, contributing to the sensory profile of certain food products, making them more appealing to consumers.
- Analytical Chemistry: It is employed as a reagent in analytical techniques, aiding researchers in the detection and quantification of other chemical substances.
- Material Science: This chemical is explored for its potential in creating novel materials with unique properties, such as improved thermal stability and mechanical strength.
General Information
Properties
Safety and Regulations
Applications
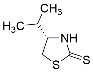
(S)-4-Isopropylthiazolidine-2-thione is widely utilized in research focused on:
- Pharmaceutical Development: This compound serves as a key intermediate in the synthesis of various pharmaceuticals, particularly those targeting metabolic disorders.
- Agricultural Chemistry: It is used in the formulation of agrochemicals, enhancing crop protection by acting as a biopesticide, which is more environmentally friendly compared to traditional pesticides.
- Food Industry: The compound acts as a flavoring agent, contributing to the sensory profile of certain food products, making them more appealing to consumers.
- Analytical Chemistry: It is employed as a reagent in analytical techniques, aiding researchers in the detection and quantification of other chemical substances.
- Material Science: This chemical is explored for its potential in creating novel materials with unique properties, such as improved thermal stability and mechanical strength.
Documents
Safety Data Sheets (SDS)
The SDS provides comprehensive safety information on handling, storage, and disposal of the product.
Product Specification (PS)
The PS provides a comprehensive breakdown of the product’s properties, including chemical composition, physical state, purity, and storage requirements. It also details acceptable quality ranges and the product's intended applications.
Certificates of Analysis (COA)
Search for Certificates of Analysis (COA) by entering the products Lot Number. Lot and Batch Numbers can be found on a product’s label following the words ‘Lot’ or ‘Batch’.
*Catalog Number
*Lot Number
Certificates Of Origin (COO)
This COO confirms the country where the product was manufactured, and also details the materials and components used in it and whether it is derived from natural, synthetic, or other specific sources. This certificate may be required for customs, trade, and regulatory compliance.
*Catalog Number
*Lot Number
Safety Data Sheets (SDS)
The SDS provides comprehensive safety information on handling, storage, and disposal of the product.
DownloadProduct Specification (PS)
The PS provides a comprehensive breakdown of the product’s properties, including chemical composition, physical state, purity, and storage requirements. It also details acceptable quality ranges and the product's intended applications.
DownloadCertificates of Analysis (COA)
Search for Certificates of Analysis (COA) by entering the products Lot Number. Lot and Batch Numbers can be found on a product’s label following the words ‘Lot’ or ‘Batch’.
*Catalog Number
*Lot Number
Certificates Of Origin (COO)
This COO confirms the country where the product was manufactured, and also details the materials and components used in it and whether it is derived from natural, synthetic, or other specific sources. This certificate may be required for customs, trade, and regulatory compliance.
