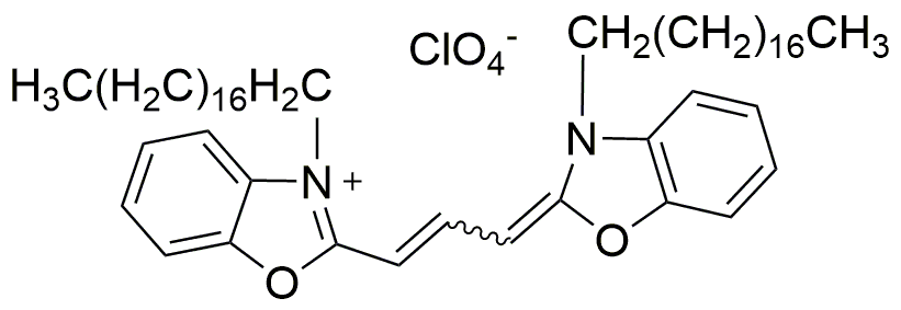
3,3'-Dioctadecyloxacarbocyanine perchlorate is widely utilized in research focused on:
- Fluorescent Imaging: This compound is often used as a fluorescent dye in biological imaging, allowing researchers to visualize cellular structures and processes with high specificity and sensitivity.
- Cell Membrane Studies: Its ability to integrate into lipid bilayers makes it valuable for studying cell membrane dynamics, providing insights into membrane fluidity and protein interactions.
- Diagnostics: In the field of medical diagnostics, it serves as a marker in assays, enhancing the detection of specific biomolecules, which can lead to quicker and more accurate diagnoses.
- Nanotechnology: This chemical is applied in the development of nanocarriers for drug delivery systems, improving the targeting and efficacy of therapeutic agents while minimizing side effects.
- Research on Photodynamic Therapy: It is also explored in photodynamic therapy applications, where its fluorescent properties can help activate photosensitizers for cancer treatment, offering a targeted approach to therapy.
General Information
Properties
Safety and Regulations
Applications
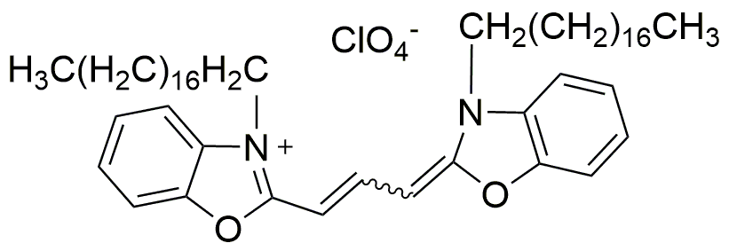
3,3'-Dioctadecyloxacarbocyanine perchlorate is widely utilized in research focused on:
- Fluorescent Imaging: This compound is often used as a fluorescent dye in biological imaging, allowing researchers to visualize cellular structures and processes with high specificity and sensitivity.
- Cell Membrane Studies: Its ability to integrate into lipid bilayers makes it valuable for studying cell membrane dynamics, providing insights into membrane fluidity and protein interactions.
- Diagnostics: In the field of medical diagnostics, it serves as a marker in assays, enhancing the detection of specific biomolecules, which can lead to quicker and more accurate diagnoses.
- Nanotechnology: This chemical is applied in the development of nanocarriers for drug delivery systems, improving the targeting and efficacy of therapeutic agents while minimizing side effects.
- Research on Photodynamic Therapy: It is also explored in photodynamic therapy applications, where its fluorescent properties can help activate photosensitizers for cancer treatment, offering a targeted approach to therapy.
Documents
Safety Data Sheets (SDS)
The SDS provides comprehensive safety information on handling, storage, and disposal of the product.
Product Specification (PS)
The PS provides a comprehensive breakdown of the product’s properties, including chemical composition, physical state, purity, and storage requirements. It also details acceptable quality ranges and the product's intended applications.
Certificates of Analysis (COA)
Search for Certificates of Analysis (COA) by entering the products Lot Number. Lot and Batch Numbers can be found on a product’s label following the words ‘Lot’ or ‘Batch’.
*Catalog Number
*Lot Number
Certificates Of Origin (COO)
This COO confirms the country where the product was manufactured, and also details the materials and components used in it and whether it is derived from natural, synthetic, or other specific sources. This certificate may be required for customs, trade, and regulatory compliance.
*Catalog Number
*Lot Number
Safety Data Sheets (SDS)
The SDS provides comprehensive safety information on handling, storage, and disposal of the product.
DownloadProduct Specification (PS)
The PS provides a comprehensive breakdown of the product’s properties, including chemical composition, physical state, purity, and storage requirements. It also details acceptable quality ranges and the product's intended applications.
DownloadCertificates of Analysis (COA)
Search for Certificates of Analysis (COA) by entering the products Lot Number. Lot and Batch Numbers can be found on a product’s label following the words ‘Lot’ or ‘Batch’.
*Catalog Number
*Lot Number
Certificates Of Origin (COO)
This COO confirms the country where the product was manufactured, and also details the materials and components used in it and whether it is derived from natural, synthetic, or other specific sources. This certificate may be required for customs, trade, and regulatory compliance.
*Catalog Number
*Lot Number
Citations
Sign up and save
Entice customers to sign up for your mailing list with discounts or exclusive offers.
