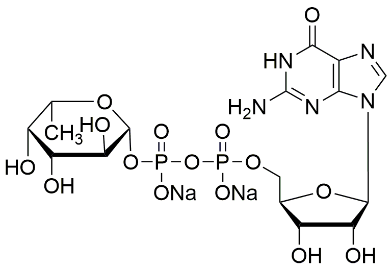
Guanosine 5'-diphospho-b-L-fucose sodium salt is widely utilized in research focused on:
- Cell Signaling Studies: This compound plays a crucial role in cell signaling pathways, making it essential for researchers studying cellular communication and responses.
- Glycobiology: It is significant in the field of glycobiology, aiding in the understanding of glycoproteins and their functions, which is vital for drug development and therapeutic applications.
- Biotechnology: Used in the production of recombinant proteins, it enhances the efficiency of protein expression systems, benefiting industries like pharmaceuticals and biotechnology.
- Immunology Research: Its application in immunology helps in studying immune responses, which is critical for vaccine development and understanding autoimmune diseases.
- Diagnostics: This compound is utilized in diagnostic assays, providing insights into various diseases by serving as a biomarker for specific conditions.
General Information
Properties
Safety and Regulations
Applications
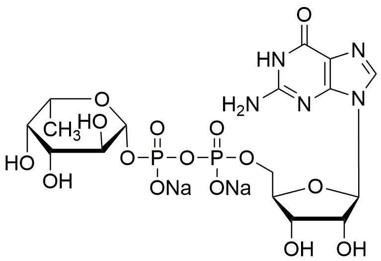
Guanosine 5'-diphospho-b-L-fucose sodium salt is widely utilized in research focused on:
- Cell Signaling Studies: This compound plays a crucial role in cell signaling pathways, making it essential for researchers studying cellular communication and responses.
- Glycobiology: It is significant in the field of glycobiology, aiding in the understanding of glycoproteins and their functions, which is vital for drug development and therapeutic applications.
- Biotechnology: Used in the production of recombinant proteins, it enhances the efficiency of protein expression systems, benefiting industries like pharmaceuticals and biotechnology.
- Immunology Research: Its application in immunology helps in studying immune responses, which is critical for vaccine development and understanding autoimmune diseases.
- Diagnostics: This compound is utilized in diagnostic assays, providing insights into various diseases by serving as a biomarker for specific conditions.
Documents
Safety Data Sheets (SDS)
The SDS provides comprehensive safety information on handling, storage, and disposal of the product.
Product Specification (PS)
The PS provides a comprehensive breakdown of the product’s properties, including chemical composition, physical state, purity, and storage requirements. It also details acceptable quality ranges and the product's intended applications.
Certificates of Analysis (COA)
Search for Certificates of Analysis (COA) by entering the products Lot Number. Lot and Batch Numbers can be found on a product’s label following the words ‘Lot’ or ‘Batch’.
*Catalog Number
*Lot Number
Certificates Of Origin (COO)
This COO confirms the country where the product was manufactured, and also details the materials and components used in it and whether it is derived from natural, synthetic, or other specific sources. This certificate may be required for customs, trade, and regulatory compliance.
*Catalog Number
*Lot Number
Safety Data Sheets (SDS)
The SDS provides comprehensive safety information on handling, storage, and disposal of the product.
DownloadProduct Specification (PS)
The PS provides a comprehensive breakdown of the product’s properties, including chemical composition, physical state, purity, and storage requirements. It also details acceptable quality ranges and the product's intended applications.
DownloadCertificates of Analysis (COA)
Search for Certificates of Analysis (COA) by entering the products Lot Number. Lot and Batch Numbers can be found on a product’s label following the words ‘Lot’ or ‘Batch’.
*Catalog Number
*Lot Number
Certificates Of Origin (COO)
This COO confirms the country where the product was manufactured, and also details the materials and components used in it and whether it is derived from natural, synthetic, or other specific sources. This certificate may be required for customs, trade, and regulatory compliance.
