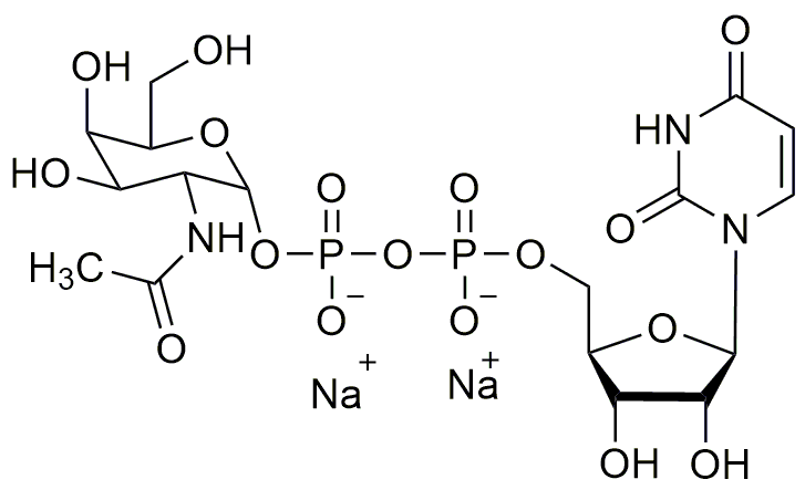
Uridine 5'-diphospho-N-acetylgalactosamine disodium salt is widely utilized in research focused on:
- Biotechnology: This compound plays a crucial role in glycosylation processes, which are essential for the production of biologically active proteins and therapeutic antibodies. Its application helps improve the efficacy and stability of biopharmaceuticals.
- Pharmaceutical Development: It is used in drug formulation to enhance the bioavailability of certain medications, particularly those targeting glycosylation pathways. This can lead to more effective treatments for various diseases.
- Cell Culture: Researchers utilize this compound in cell culture media to promote cell growth and differentiation, especially in studies involving stem cells and tissue engineering, facilitating advancements in regenerative medicine.
- Genetic Research: It serves as a substrate in the synthesis of nucleotides, aiding in the study of genetic material and its functions. This application is vital for understanding genetic diseases and developing gene therapies.
- Diagnostics: The compound is also employed in diagnostic assays to detect specific biomarkers related to diseases, providing valuable insights for early diagnosis and treatment strategies.
General Information
Properties
Safety and Regulations
Applications
Uridine 5'-diphospho-N-acetylgalactosamine disodium salt is widely utilized in research focused on:
- Biotechnology: This compound plays a crucial role in glycosylation processes, which are essential for the production of biologically active proteins and therapeutic antibodies. Its application helps improve the efficacy and stability of biopharmaceuticals.
- Pharmaceutical Development: It is used in drug formulation to enhance the bioavailability of certain medications, particularly those targeting glycosylation pathways. This can lead to more effective treatments for various diseases.
- Cell Culture: Researchers utilize this compound in cell culture media to promote cell growth and differentiation, especially in studies involving stem cells and tissue engineering, facilitating advancements in regenerative medicine.
- Genetic Research: It serves as a substrate in the synthesis of nucleotides, aiding in the study of genetic material and its functions. This application is vital for understanding genetic diseases and developing gene therapies.
- Diagnostics: The compound is also employed in diagnostic assays to detect specific biomarkers related to diseases, providing valuable insights for early diagnosis and treatment strategies.
Documents
Safety Data Sheets (SDS)
The SDS provides comprehensive safety information on handling, storage, and disposal of the product.
Product Specification (PS)
The PS provides a comprehensive breakdown of the product’s properties, including chemical composition, physical state, purity, and storage requirements. It also details acceptable quality ranges and the product's intended applications.
Certificates of Analysis (COA)
Search for Certificates of Analysis (COA) by entering the products Lot Number. Lot and Batch Numbers can be found on a product’s label following the words ‘Lot’ or ‘Batch’.
*Catalog Number
*Lot Number
Certificates Of Origin (COO)
This COO confirms the country where the product was manufactured, and also details the materials and components used in it and whether it is derived from natural, synthetic, or other specific sources. This certificate may be required for customs, trade, and regulatory compliance.
*Catalog Number
*Lot Number
Safety Data Sheets (SDS)
The SDS provides comprehensive safety information on handling, storage, and disposal of the product.
DownloadProduct Specification (PS)
The PS provides a comprehensive breakdown of the product’s properties, including chemical composition, physical state, purity, and storage requirements. It also details acceptable quality ranges and the product's intended applications.
DownloadCertificates of Analysis (COA)
Search for Certificates of Analysis (COA) by entering the products Lot Number. Lot and Batch Numbers can be found on a product’s label following the words ‘Lot’ or ‘Batch’.
*Catalog Number
*Lot Number
Certificates Of Origin (COO)
This COO confirms the country where the product was manufactured, and also details the materials and components used in it and whether it is derived from natural, synthetic, or other specific sources. This certificate may be required for customs, trade, and regulatory compliance.
